Giải Toán lớp 3 trang 23: Luyện tập nhân số có hai chữ số với số có một chữ số
Giải bài tập trang 23 SGK Toán 3: Luyện tập nhân số có hai chữ số với số có một chữ số là tài liệu tham khảo với lời giải chi tiết, rõ ràng theo khung chương trình sách giáo khoa Toán lớp 3, các bài giải tương ứng với từng bài học trong sách giúp cho các em học sinh ôn tập và củng cố các dạng bài tập, rèn luyện kỹ năng giải Toán.
Để tiện trao đổi, chia sẻ kinh nghiệm về giảng dạy và học tập các môn học lớp 3, VnDoc mời các thầy cô giáo, các bậc phụ huynh và các bạn học sinh truy cập nhóm riêng dành cho lớp 3 sau: Nhóm Tài liệu học tập lớp 3. Rất mong nhận được sự ủng hộ của các thầy cô và các bạn.
Luyện tập nhân số có hai chữ số với số có một chữ số
1. Bài 1 trang 23 SGK Toán 3
Tính:

Đáp án và hướng dẫn giải bài 1:
2. Bài 2 trang 23 SGK Toán 3
Đặt tính rồi tính:
a) 38 × 2 b) 53 × 4 c) 84 × 3
27 × 6 45 × 5 32 × 4
Đáp án và hướng dẫn giải bài 2:
a) 38 × 2 = 76
27 × 6 = 162
b) 53 × 4 = 132
45 × 5 = 225
c) 84 × 3 = 252
32 × 4 = 128
3. Bài 3 trang 23 SGK Toán 3
Mỗi ngày có 24 giờ. Hỏi 6 ngày có tất cả bao nhiêu giờ?
Đáp án và hướng dẫn giải bài 3:
Mỗi ngày có 24 giờ vậy 6 ngày có số giờ là:
24 × 6 = 144 giờ
4. Bài 4 trang 23 SGK Toán 3
Quay kim đồng hồ để chỉ:
a) 3 giờ 10 phút
b) 8 giờ 20 phút
c) 6 giờ 45 phút
d) 11 giờ 35 phút.
Đáp án và hướng dẫn giải bài 4:

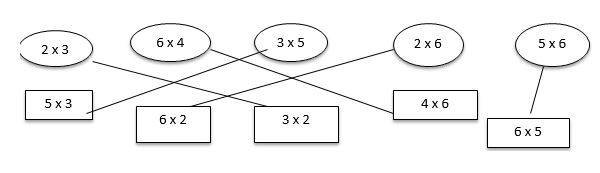
5. Bài 5 trang 23 SGK Toán 3
Hai phép nhân nào có kết quả bằng nhau:

Đáp án:

Tất cả các tài liệu trên được sắp xếp và trình bày khoa học, giúp các em ôn luyện và rèn luyện các kiến thức cơ bản trong SGK. Ngoài Giải bài tập trang 23 SGK Toán 3: Luyện tập nhân số có hai chữ số với số có một chữ số, các em học sinh hoặc quý phụ huynh còn có thể tham khảo thêm đề thi học kì 2 lớp 3 các môn Toán, Tiếng Việt, Tiếng Anh theo chuẩn thông tư 22 của bộ Giáo Dục và các dạng bài ôn tập môn Tiếng Việt 3, và môn Toán 3. Những đề thi này được VnDoc.com sưu tầm và chọn lọc từ các trường tiểu học trên cả nước nhằm mang lại cho học sinh lớp 3 những đề ôn thi học kì chất lượng nhất. Mời các em cùng quý phụ huynh tải miễn phí đề thi về và ôn luyện.