Bài tập Toán lớp 6: Phép cộng phân số
Bài tập Phép cộng phân số lớp 6
Bài tập Toán lớp 6: Phép cộng phân số bao gồm 2 phần Trắc nghiệm và Tự luận có đáp án chi tiết cho từng phần giúp các em học sinh ôn tập, củng cố kỹ năng giải Toán lớp 6 Chương 3 Phân số, chuẩn bị cho các bài thi môn Toán lớp 6 trong năm học. Mời các em học sinh tham khảo chi tiết.
Bài tập Phép cộng phân số Toán lớp 6
I. Câu hỏi trắc nghiệm
Câu 1: Tổng
có kết quả là:
A. 1/3
B. 4/3
C. 3/4
D. 1
Đáp án

Chọn đáp án D
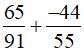
Câu 2: Tính tổng hai phân số 35/36 và -125/36
A. -5/2
B. -29/5
C. -40/9
D. 40/9
Đáp án

Chọn đáp án A
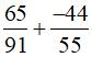
Câu 3: Thực hiện phép tính
ta được kết quả là
A. -53/35
B. 51/35
C. -3/25
D. 3/35
Đáp án

Chọn đáp án C
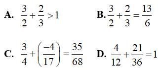
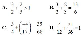
Câu 4: Chọn câu đúng

Đáp án

Chọn đáp án B
Câu 5: Chọn câu sai

Đáp án

Chọn đáp án D
II. Bài tập tự luận
Câu 1:
a) Viết phân số 7/15 dưới dạng tổng hai phân số tối giản có mẫu số khác nhau.
b) Viết phân số 1/8 dưới dạng tổng hai phân số dương có tử số bằng 1 và mẫu số khác nhau.
c) Viết các phân số bằng 15/17 có mẫu là số tự nhiên chẵn có hai chữ số.
Đáp án
a) Vì 7 = 2 + 5 = 6 + 1 = 3 + 4 nên có nhiều cách viết

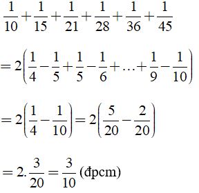
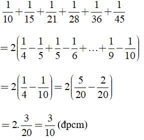
Câu 2: Chứng tỏ rằng:

Đáp án

Do đó, ta có:

Lý thuyết và Bài tập Phép cộng phân số Toán lớp 6:
- Giải bài tập trang 26, 27 SGK Toán lớp 6 tập 2: Phép cộng phân số
- Giải bài tập SBT Toán 6 bài 7: Phép cộng phân số
- Lý thuyết Toán lớp 6: Phép cộng phân số
Trên đây VnDoc tổng hợp các kiến thức Lý thuyết Toán lớp 6: Phép cộng phân số ngoài ra các em học sinh có thể tham khảo các bài giải SGK môn Toán lớp 6, Môn Ngữ văn 6, Môn Vật lý 6, môn Sinh Học 6, Lịch sử 6, Địa lý 6....và các đề thi học kì 1 lớp 6 và đề thi học kì 2 lớp 6 để chuẩn bị cho các bài thi đề thi học kì đạt kết quả cao.