Giao diện mới của VnDoc Pro: Dễ sử dụng hơn - chỉ tập trung vào lớp bạn quan tâm. Vui lòng chọn lớp mà bạn quan tâm: Lưu và trải nghiệm
Đóng
Điểm danh hàng ngày
  • Hôm nay +3
  • Ngày 2 +3
  • Ngày 3 +3
  • Ngày 4 +3
  • Ngày 5 +3
  • Ngày 6 +3
  • Ngày 7 +5
Bạn đã điểm danh Hôm nay và nhận 3 điểm!
Nhắn tin Zalo VNDOC để nhận tư vấn mua gói Thành viên hoặc tải tài liệu Hotline hỗ trợ: 0936 120 169

Lý thuyết Toán lớp 6: So sánh phân số

Lớp: Lớp 6
Môn: Toán
Dạng tài liệu: Lý thuyết
Loại File: PDF + Word
Phân loại: Tài liệu Tính phí

Lý thuyết So sánh phân số lớp 6

Lý thuyết Toán lớp 6: So sánh phân số bao gồm các ví dụ và các bài giải bài tập chi tiết cho các em học sinh tham khảo, củng cố kỹ năng giải Toán lớp 6 Số học Chương 3 - Phân số, chuẩn bị cho các bài kiểm tra trong năm học. Mời các em học sinh tham khảo chi tiết.

1. So sánh hai phân số cùng mẫu Toán lớp 6

Trong hai phân số có cùng một mẫu dương, phân số nào có tử lớn hơn thì lớn hơn

Ví dụ:

So sánh phân số

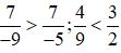
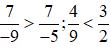
2. So sánh hai phân số không cùng mẫu

Muốn so sánh hai phân số không cùng mẫu, ta viết chúng dưới dạng hai phân số có cùng một mẫu dương rồi so sánh các tử với nhau: phân số nào có tử lớn hơn thì lớn hơn

Nhận xét:

+ Phân số có tử và mẫu là hai số nguyên cùng dấu thì lớn hơn 0, gọi là phân số dương

Ví dụ:

 So sánh phân số

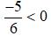
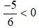
+ Phân số có tử và mẫu là hai số nguyên khác dấu thì nhỏ hơn 0, gọi là phân số âm

Ví dụ:

So sánh phân số

- Ta còn có cách so sánh phân số như sau:

+ Áp dụng tính chất:

So sánh phân số

+ Đưa về hai phân số cùng tử dương rồi so sánh mẫu (chỉ áp dụng đối với hai phân số cùng dương)

Ví dụ:

So sánh phân số

+ Chọn số thứ ba làm trung gian

Ví dụ:

So sánh phân số

Bài tập So sánh phân số Toán lớp 6:

Trên đây VnDoc tổng hợp các kiến thức Lý thuyết Toán lớp 6: So sánh phân số ngoài ra các em học sinh có thể tham khảo các bài giải SGK môn Toán lớp 6, Môn Ngữ văn 6, Môn Vật lý 6, môn Sinh Học 6, Lịch sử 6, Địa lý 6....và các đề thi học kì 1 lớp 6 đề thi học kì 2 lớp 6 để chuẩn bị cho các bài thi đề thi học kì đạt kết quả cao.

Chọn file muốn tải về:
Đóng Chỉ thành viên VnDoc PRO/PROPLUS tải được nội dung này!
Đóng
79.000 / tháng
Đặc quyền các gói Thành viên
PRO
Phổ biến nhất
PRO+
Tải tài liệu Cao cấp 1 Lớp
30 lượt tải tài liệu
Xem nội dung bài viết
Trải nghiệm Không quảng cáo
Làm bài trắc nghiệm không giới hạn
Mua cả năm Tiết kiệm tới 48%

Có thể bạn quan tâm

Xác thực tài khoản!

Theo Nghị định 147/2024/ND-CP, bạn cần xác thực tài khoản trước khi sử dụng tính năng này. Chúng tôi sẽ gửi mã xác thực qua SMS hoặc Zalo tới số điện thoại mà bạn nhập dưới đây:

Số điện thoại chưa đúng định dạng!
Số điện thoại này đã được xác thực!
Bạn có thể dùng Sđt này đăng nhập tại đây!
Lỗi gửi SMS, liên hệ Admin
Sắp xếp theo
🖼️

Lý Thuyết Toán 6

Xem thêm
🖼️

Gợi ý cho bạn

Xem thêm