Bài tập Toán lớp 6: Phép trừ phân số
Bài tập Phép trừ phân số lớp 6
Bài tập Toán lớp 6: Phép trừ phân số bao gồm 2 phần Trắc nghiệm và Tự luận có đáp án chi tiết cho từng phần giúp các em học sinh ôn tập, củng cố kỹ năng giải Toán lớp 6 Chương 3 Phân số, chuẩn bị cho các bài thi môn Toán lớp 6 trong năm học. Mời các em học sinh tham khảo chi tiết.
Bài tập Phép trừ phân số Toán lớp 6
I. Câu hỏi trắc nghiệm
Câu 1: Số đối của phân số 13/7 là:
\(A.\frac{-13}{7}\)
\(B.\frac{13}{-7}\)
\(C.-\left(\frac{13}{7}\right)\)
\(D.\ Tất\ cả\ các\ đáp\ án\ trên\ đều\ đúng\)
Đáp án
Số đối của phân số 13/7 là -13/7 hoặc 13/-7 hoặc -(13/7)
Chọn đáp án D
Câu 2: Cặp phân số nào sau đây là hai phân số đối nhau?
\(A.\ \frac{-2}{3};\frac{3}{2}\)
\(B.\ \frac{-12}{13};\frac{13}{-12}\)
\(C.\ \frac{1}{2};-\frac{1}{2}\)
\(D.\ \frac{3}{4};-\frac{4}{3}\)
Đáp án
Đáp án A: Số đối của -2/3 là 2/3 chứ không phải 3/2 nên A sai
Đáp án B: Số đối của -12/13 là 12/13 chứ không phải 13/-12 nên B sai
Đáp án C: Số đối của 1/2 là -(1/2) nên C đúng
Đáp án D: Số đối của 3/4 là -3/4 hoặc 3/-4 hoặc -(3/4) chứ không phải -4/3 nên D sai
Chọn đáp án C
Câu 3: Kết quả phép tính
\(\frac{3}{4}-\frac{7}{20}\) là
A. 1/10
B. 4/5
C. 2/5
D. -1/10
Đáp án
Ta có:
\(\frac{3}{4}-\frac{7}{20}=\frac{15}{20}-\frac{7}{20}=\frac{8}{20}=\frac{2}{5}\)
Chọn đáp án C
Câu 4: Số đối của
\(-\left(-\frac{2}{27}\right)\) là:

Đáp án
Ta có:

Chọn đáp án D
Câu 5: Phép tính
là:

Đáp án
Ta có:

Chọn đáp án A
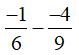
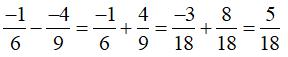
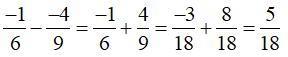
Câu 6: Tính 
A. 5/18
B. 5/36
C. -11/18
D. -13/36
Đáp án
Ta có:

Chọn đáp án A
II. Bài tập tự luận
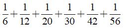
Câu 1: Tính nhanh

Đáp án
Ta có:

Câu 2: Chứng minh rằng

Đáp án
Ta có:

Lý thuyết và Bài tập Phép trừ phân số Toán lớp 6:
- Giải bài tập trang 33, 34, 35 SGK Toán lớp 6 tập 2: Phép trừ phân số
- Giải bài tập SBT Toán 6 bài 9: Phép trừ phân số
- Lý thuyết Toán lớp 6: Phép trừ phân số
Trên đây VnDoc tổng hợp các kiến thức Bài tập Toán lớp 6: Phép trừ phân số, ngoài ra các em học sinh có thể tham khảo các bài giải SGK môn Toán lớp 6, Môn Ngữ văn 6, Môn Vật lý 6, môn Sinh Học 6, Lịch sử 6, Địa lý 6....và các đề thi học kì 1 lớp 6 và đề thi học kì 2 lớp 6 để chuẩn bị cho các bài thi đề thi học kì đạt kết quả cao.