Bài tập Toán lớp 6: Quy đồng mẫu nhiều phân số
Bài tập Quy đồng mẫu nhiều phân số lớp 6
Bài tập Toán lớp 6: Quy đồng mẫu nhiều phân số bao gồm 2 phần Trắc nghiệm và Tự luận có đáp án chi tiết cho từng phần giúp các em học sinh ôn tập, củng cố kỹ năng giải Toán lớp 6 Chương 3 Phân số, chuẩn bị cho các bài thi môn Toán lớp 6 trong năm học. Mời các em học sinh tham khảo chi tiết.
Bài tập Quy đồng mẫu nhiều phân số Toán lớp 6
I. Câu hỏi trắc nghiệm
Câu 1: Mẫu số chung của các phân số
là:
A. 180
B. 500
C. 750
D. 450
Đáp án
Ta có:
5 = 5.1
18 = 2.32
75 = 3.52
⇒ BCNN(5; 18; 75) = 2.32.52 = 450
Vậy ta có thể chọn một mẫu chung là 450
Chọn đáp án D
Câu 2: Qui đồng mẫu các phân số
ta được các phân số lần lượt là:

Đáp án
Ta có 12 = 22.3; 16 = 24; 20 = 25.5

Vậy các phân số sau khi được quy đồng lần lượt là

Chọn đáp án A
Câu 3: Quy đồng mẫu số hai phân số
được hai phân số lần lượt là:

Đáp án

Chọn đáp án A
Câu 4: Mẫu chung nguyên dương nhỏ nhất của các phân số
là:
A. 32.72
B. 33.73.11.19
C. 32.72.11.19
D. 33.72.11.19
Đáp án
BCNN hay mẫu số chung nguyên dương nhỏ nhất của hai mẫu đã cho là 33.72.11.19
Chọn đáp án D
II. Bài tập tự luận
Câu 1: Quy đồng mẫu các phân số sau: 
Đáp án

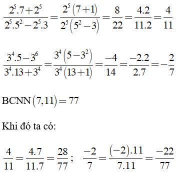
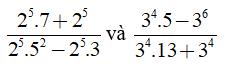
Câu 2: Rút gọn hai biểu thức rồi quy đồng

Đáp án
Ta có:

Lý thuyết và Bài tập Quy đồng mẫu nhiều phân số Toán lớp 6:
- Giải bài tập trang 19, 20 SGK Toán lớp 6 tập 2: Quy đồng mẫu số nhiều phân số
- Giải bài tập SBT Toán 6 bài 5: Quy đồng mẫu nhiều phân số
- Lý thuyết Toán lớp 6: Quy đồng mẫu nhiều phân số
Trên đây VnDoc tổng hợp các kiến thức Bài tập Toán lớp 6: Quy đồng mẫu nhiều phân số, ngoài ra các em học sinh có thể tham khảo các bài giải SGK môn Toán lớp 6, Môn Ngữ văn 6, Môn Vật lý 6, môn Sinh Học 6, Lịch sử 6, Địa lý 6....và các đề thi học kì 1 lớp 6 và đề thi học kì 2 lớp 6 để chuẩn bị cho các bài thi đề thi học kì đạt kết quả cao.