Bài tập Tìm tỉ số của hai số
Bài tập Toán lớp 6: Tìm tỉ số của hai số bao gồm các ví dụ và các bài giải bài tập chi tiết cho các em học sinh tham khảo, củng cố kỹ năng giải Toán lớp 6 Số học Chương 3 - Phân số, chuẩn bị cho các bài kiểm tra trong năm học. Mời các em học sinh tham khảo chi tiết.
Bài tập Tìm tỉ số của hai số
Tìm tỉ số của hai số Toán lớp 6
I. Câu hỏi trắc nghiệm
Câu 1: Tỉ số và tỉ số phần trăm của số 2700m và 6km lần lượt là
A. 9/20; 45%
B. 9/20; 4,5%
C. 450; 45000%
D. 9/200; 4,5%
Lời giải
Đổi 6km = 6000m
+ Tỉ số của 2700m và 6000m là
2700:6000 = 9/20
+ Tỉ số phần trăm của 2700m và 6000m là

Chọn đáp án A
Câu 2: Một lớp học có 30 học sinh, trong lớp đó có 6 em học sinh giỏi toán. Hãy tính tỉ số phần trăm của số học sinh giỏi toán so với số học sinh cả lớp?
A. 25%
B. 35%
C. 20%
D. 40%
Lời giải
Tỉ số phần trăm của số học sinh giỏi toán so với số học sinh cả lớp là:

Vậy số học sinh giỏi Toán chiếm 20% số học sinh cả lớp
Chọn đáp án C
Câu 3: Chọn câu sai. Viết dưới dạng tỉ số của hai số tự nhiên

Lời giải

Chọn đáp án B
Câu 4: Tìm một số biết (3/5)% của nó bằng 0,3
A. 100
B. 60
C. 30
D. 50
Lời giải

Vậy số cần tìm là 50
Chọn đáp án D
II. Bài tập tự luận
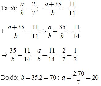
Câu 1: Tỉ số của hai số bằng 2:7. Nếu thêm 35 vào số thứ nhất thì tỉ số giữa chúng bằng 11:14. Tìm hai số đó.
Hiển thị lời giải

Câu 2: Một khu đất hình chữ nhật có diện tích là 5000m2. Trên bản đồ tỉ lệ xích 1:1000. Khu đất đó có diện tích bằng bao nhiêu?
Lời giải
Trên bản đồ, chiều dài khu đất giảm đi 1000 lần, chiều rộng giảm đi 1000 lần nên diện tích giảm đi 1000.1000 = 1000000 (lần)
Vậy diện tích khu đất trên bản đồ là:
5000m2 : 1000000 = 50000000cm2 : 1000000 = 50 (cm2)
Bài tập Tìm tỉ số của hai số. Biểu đồ phần trăm lớp 6:
- Giải bài tập SGK Toán lớp 6 chương 3 bài 16: Tìm tỉ của hai số
- Giải bài tập SBT Toán 6 bài 16: Tìm tỉ số của hai số
- Lý thuyết Toán lớp 6: Tìm tỉ số của hai số. Biểu đồ phần trăm
Trên đây VnDoc tổng hợp các kiến thức, ngoài ra các em học sinh có thể tham khảo các bài giải SGK môn Toán lớp 6, Môn Ngữ văn 6, Môn Vật lý 6, môn Sinh Học 6, Lịch sử 6, Địa lý 6....và các đề thi học kì 1 lớp 6 và đề thi học kì 2 lớp 6 để chuẩn bị cho các bài thi đề thi học kì đạt kết quả cao.