Lý thuyết Toán lớp 6: Phép nhân phân số
Lý thuyết Phép nhân phân số lớp 6
Lý thuyết Toán lớp 6: Phép nhân phân số bao gồm các ví dụ và các bài giải bài tập chi tiết cho các em học sinh tham khảo, củng cố kỹ năng giải Toán lớp 6 Số học Chương 3 - Phân số, chuẩn bị cho các bài kiểm tra trong năm học. Mời các em học sinh tham khảo chi tiết.
Lý thuyết Phép nhân phân số Toán lớp 6
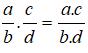
1. Quy tắc
+ Muốn nhân hai phân số, ta nhân các tử với nhau và nhân các mẫu với nhau

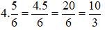
+ Muốn nhân một số nguyên với một phân số (hoặc một phân số với một số nguyên), ta nhân số nguyên với tử của phân số và giữ nguyên mẫu
![]()
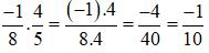
Ví dụ:
![]()
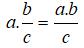
2. Nhận xét:
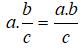
+ Muốn nhân một số nguyên với một phân số ( hoặc một phân số với một số nguyên ), ta nhân số nguyên với tử của phân số và giữ nguyên mẫu
![]()
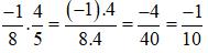
Ví dụ:
![]()
Bài tập Phép nhân phân số Toán lớp 6:
- Giải bài tập trang 36, 37 SGK Toán lớp 6 tập 2: Phép nhân phân số
- Giải bài tập SBT Toán 6 bài 10: Phép nhân phân số
- Bài tập Toán lớp 6: Phép nhân phân số
Trên đây VnDoc tổng hợp các kiến thức Lý thuyết Toán lớp 6: Phép nhân phân số ngoài ra các em học sinh có thể tham khảo các bài giải SGK môn Toán lớp 6, Môn Ngữ văn 6, Môn Vật lý 6, môn Sinh Học 6, Lịch sử 6, Địa lý 6....và các đề thi học kì 1 lớp 6 và đề thi học kì 2 lớp 6 để chuẩn bị cho các bài thi đề thi học kì đạt kết quả cao.