Bài tập Toán lớp 6: Tính chất cơ bản của phép cộng phân số
Tính chất cơ bản của phép cộng phân số
Bài tập Toán lớp 6: Tính chất cơ bản của phép cộng phân số được biên soạn gồm hai phần Trắc nghiệm và Tự luận, kèm theo đáp án chi tiết cho từng phần. Tài liệu giúp học sinh ôn tập và củng cố kiến thức về các tính chất của phép cộng phân số trong Chương 3 – Phân số. Thông qua việc luyện tập đa dạng các dạng bài, các em sẽ rèn luyện kỹ năng tính toán, tư duy logic và phương pháp giải toán hiệu quả. Đây là tài liệu tham khảo hữu ích, hỗ trợ học sinh tự học, nâng cao năng lực vận dụng kiến thức và chuẩn bị tốt cho các bài kiểm tra, đánh giá môn Toán lớp 6 trong năm học. Mời các em học sinh tham khảo chi tiết.
Bài tập Tính chất cơ bản của phép cộng phân số Toán lớp 6
I. Câu hỏi trắc nghiệm
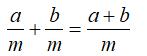
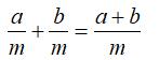
Câu 1: Chọn câu đúng . Với a; b; m ∈ Z; m ≠ 0 ta có :

Đáp án
Muốn cộng hai phân số cùng mẫu, ta cộng các tử và giữ nguyên mẫu

Chọn đáp án C
Câu 2: Phép cộng phân sô có tính chất nào sau đây?
A. Tính chất giao hoán
B. Tính chất kết hợp
C. Tính chất cộng với 0
D. Cả A, B, C đều đúng
Đáp án
Phép cộng phân số có các tính chất:
+ Tính chất giao hoán: khi đổi chỗ các phân số trong một tổng thì tổng không đổi
+ Tính chất kết hợp: Muốn cộng một tổng hai phân số với phân số thứ ba, ta có thể cộng phân số thứ nhất với tổng hai phân số còn lại
+ Tính chất cộng với 0: Tổng của một phân số với 0 bằng chính phân số đó
Chọn đáp án D
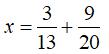
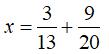
Câu 3: Tìm x biết


Đáp án

Chọn đáp án B
Câu 4: Tìm x biết x - 1/5 = 2 + -3/4

Đáp án

Chọn đáp án B
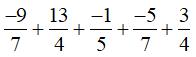
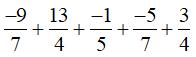
Câu 5: Tính hợp lí biểu thức
ta được kết quả là:
A. 9/5
B. 11/5
C. -11/5
D. -1/5
Đáp án
Ta có:

Chọn đáp án B
II. Bài tập tự luận
Câu 1: Tính nhanh

Đáp án
a) Ta có:

b) Ta có:

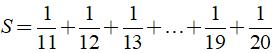
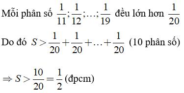
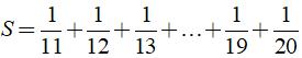
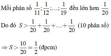
Câu 2: Cho
.
Hãy so sánh S với 1/2
Đáp án

Lý thuyết và bài tập Tính chất cơ bản của Phép cộng phân số Toán lớp 6:
- Giải bài tập trang 29, 30, 31 SGK Toán lớp 6 tập 2: Tính chất cơ bản của phép cộng phân số
- Giải bài tập SBT Toán 6 bài 8: Tính chất cơ bản của phép cộng phân số
- Lý thuyết Toán lớp 6: Tính chất cơ bản của phép cộng phân số
Trên đây VnDoc tổng hợp các kiến thức Bài tập Toán lớp 6: Tính chất cơ bản của phép cộng phân số ngoài ra các em học sinh có thể tham khảo các bài giải SGK môn Toán lớp 6, Môn Ngữ văn 6, Môn Vật lý 6, môn Sinh Học 6, Lịch sử 6, Địa lý 6....và các đề thi học kì 1 lớp 6 và đề thi học kì 2 lớp 6 để chuẩn bị cho các bài thi đề thi học kì đạt kết quả cao
https://vndoc.com/bai-tap-toan-lop-6-tinh-chat-co-ban-cua-phep-cong-phan-so/download