Bài tập Tia phân giác của góc Toán lớp 6
Bài tập Tia phân giác của góc
Bài tập Toán lớp 6: Tia phân giác của góc bao gồm 2 phần Trắc nghiệm và Tự luận có đáp án chi tiết cho từng phần giúp các em học sinh ôn tập, củng cố kỹ năng giải Toán lớp 6 Chương 2 Hình học, chuẩn bị cho các bài thi môn Toán lớp 6 trong năm học. Mời các em học sinh tham khảo chi tiết.
Bài tập Tia phân giác của góc Toán lớp 6
I. Câu hỏi trắc nghiệm
Câu 1: Chọn phát biểu sai trong các phát biểu sau:
A. Nếu tia Ot là tia phân giác của ∠xOy thì tia Ot nằm giữa hai tia Ox, Oy
B. Nếu tia Ot là tia phân giác của ∠xOy thì ∠xOt = ∠yOt = ∠xOy/2
C. Nếu ∠xOt = ∠yOt thì tia Ot là tia phân giác của ∠xOy
D. Nếu ∠xOt = ∠yOt và tia Ot nằm giữa hai tia Ox, Oy thì tia Ot là tia phân giác của ∠xOy
Lời giải
Nếu ∠xOt = ∠yOt và tia Ot nằm giữa hai tia Ox, Oy thì tia Ot là tia phân giác của ∠xOy nên C sai, D đúng
Chọn đáp án C.
Câu 2: Cho Ot là phân giác của ∠xOy. Biết ∠xOy = 100°, số đo của ∠xOt là:
A. 40°
B. 60°
C. 50°
D. 200°
Lời giải
Vì Ot là phân giác của ∠xOy thì

Chọn đáp án C.
Câu 3: Cho ∠xOy là góc vuông có tia On là phân giác, số đo của ∠xOn là:
A. 40°
B. 90°
C. 45°
D. 85°
Lời giải
Vì On là tia phân giác của ∠xOy nên

Chọn đáp án C.
Câu 4: Cho tia On là tia phân giác của ∠mOt. Biết ∠mOn = 70°, số đo của ∠mOt là:
A. 140°
B. 120°
C. 35°
D. 60°
Lời giải
Vì tia On là tia phân giác của ∠mOt nên

Chọn đáp án A.
Câu 5: Cho ∠AOB = 90° và tia OB là tia phân giác của góc AOC . Khi đó góc AOC là:
A. Góc vuông
B. Góc nhọn
C. Góc tù
D. Góc bẹt
Lời giải

Vì tia là tia phân giác của góc nên

Do đó
![]()
Nên góc AOC là góc bẹt.
Chọn đáp án D.
Câu 6: Cho ∠AOC = 60°. Vẽ tia OB sao cho OA là tia phân giác của ∠BOC. Tính số đo của ∠AOB và ∠BOC

Lời giải

Vì OA là tia phân giác của ∠BOC nên ta có:

Chọn đáp án D.
II. Bài tập tự luận
Câu 1: Cho đường thẳng xx' và một điểm O nằm trên đường thẳng ấy. Trên hai nửa mặt phẳng đối nhau bờ là đường thẳng xx', lấy hai điểm A, B sao cho ∠x'OA = 150° và ∠BOx = 30°. Chứng tỏ Ox là tia phân giác của góc ∠AOB ?
Lời giải

Ta có: ∠x'OA và ∠xOA là hai góc kề bù, ta tính được: ∠xOA = 30°
Tia Ox nằm giữa hai tia OA, OB và ∠xOA = ∠xOB
Suy ra Ox là tia phân giác của góc ∠AOB
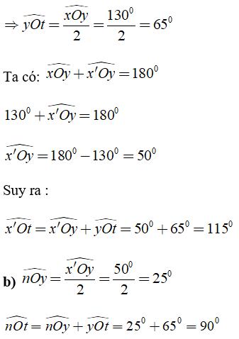
Câu 2: Vẽ 2 góc kề bù ∠xOy và ∠x'Oy, biết xOy = 130°, Gọi Ot là tia phân giác của ∠xOy. Hãy tính:
a) ∠yOt = ?; ∠x'Ot = ?
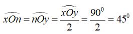
b) Vẽ tia phân giác On của ∠x'Oy. Tính góc ∠nOt = ?
Lời giải

a) Vì tia Ot là tia phân giác của ∠xOy

Bài tập Tia phân giác của góc lớp 6:
- Giải bài tập SBT Toán 6 bài 6: Tia phân giác của góc
- Giải bài tập SGK Toán lớp 6 - Hình học Chương 2: Tia phân giác của góc
- Lý thuyết Toán lớp 6: Tia phân giác của góc
Trên đây VnDoc tổng hợp các dạng Bài tập Tia phân giác của góc ngoài ra các em học sinh có thể tham khảo các bài giải SGK môn Toán lớp 6, Môn Ngữ văn 6, Môn Vật lý 6, môn Sinh Học 6, Lịch sử 6, Địa lý 6....và các đề thi học kì 1 lớp 6 và đề thi học kì 2 lớp 6 để chuẩn bị cho các bài thi đề thi học kì đạt kết quả cao.