Giải bài tập SGK Toán lớp 6 - Hình học Chương 2: Tia phân giác của góc
Giải bài tập SGK Toán lớp 6 Hình học Chương 2 bài 6
Giải bài tập SGK Toán lớp 6 Hình học Chương 2: Tia phân giác của góc có đáp án chi tiết cho từng bài tập giúp các em hệ thống kiến thức học tập, ôn tập tốt toàn bộ phần hình học 6 chương 2. Mời các em học sinh cùng tham khảo chi tiết.
Hướng dẫn giải bài tập SGK Toán 6 tập 2 phần Hình học trang 87
Bài 30 (trang 87 SGK Toán 6 tập 2): Trên cùng một nửa mặt phẳng bờ chứa tia Ox, vẽ tia Ot, Oy sao cho góc xOt = 25o, góc xOy = 50o.
a) Tia Ot có nằm giữa hai tia Ox và Oy không?
b) So sánh góc tOy và góc xOt?
c) Tia Ot có là tia phân giác của góc xOy không? Vì sao.
Lời giải:


Bài 31 (trang 87 SGK Toán lớp 6 tập 2):
a) Vẽ góc xOy có số đo 126o.
b) Vẽ tia phân giác của góc xOy ở câu a.
Lời giải:

a) Dùng thước đo góc ta vẽ được góc xOy = 126o
(tương tự cách vẽ ở các bài tập trước)
b) Vì tia Ot là tia phân giác của góc xOy
![]()
Đặt thước đo góc nằm cùng tia Oy trên nửa mặt phẳng bờ là đường thẳng chứa tia Ox trùng với đỉnh O của góc xOy và tia Ox đi qua vạch O của thước. Kẻ tia Ot đi qua vạch 63 thì Ot là tia phân giác của góc xOy.
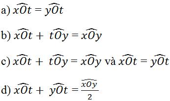
Bài 32 (trang 87 SGK Toán 6 tập 2): Khi nào ta kết luận được tia Ot là tia phân giác của góc xOy? Trong những câu trả lời sau, em hãy chọn những câu đúng:

Lời giải:
Ta đã biết, để Ot là tia phân giác của góc xOy cần thỏa mãn 2 điều kiện:

Vậy:
a) Không kết luận được vì thiếu điều kiện Ot nằm giữa Ox và Oy.
b) Không kết luận được vì thiếu điều kiện
![]()

* Lưu ý:
+ Từ ý d), sau này khi cho Ot là tia phân giác của
ta có thể suy ra

Bài 33 (trang 87 SGK Toán 6 tập 2): Vẽ hai góc kề bù xOy, yOx', biết góc xOy = 130o. Gọi Ot là tia phân giác của góc xOy. Tính góc x'Ot.
Lời giải:


Bài 34 (trang 87 SGK Toán 6 tập 2): Vẽ hai góc kề bù xOy, yOx', biết góc xOy = 100o. Gọi Ot là tia phân giác của góc xOy, Ot' là tia phân giác của góc x'Oy. Tính góc x'Ot, góc xOt', góc tOt'.
Lời giải:



Bài 35 (trang 87 SGK Toán 6 tập 2): Vẽ góc bẹt xOy. Vẽ tia phân giác Om của góc đó. Vẽ tia phân giác Oa của góc xOm. Vẽ tia phân giác Ob của góc mOy. Tính số đo aOb.
Lời giải:

+ Trên cùng một nửa mặt phẳng bờ xy chứa tia Om có Om là tia nằm giữa tia Oa và tia Ob.


Bài 36 (trang 87 SGK Toán 6 tập 2): Cho hai tia Oy, Oz cùng nằm trên một nửa mặt phẳng có bờ chứa tia 0x. Biết góc xOy = 30o, góc xOz = 80o. Vẽ tia phân giác Om của góc xOy. Vẽ tia phân giác On của góc yOz. Tính góc mOn.
Lời giải:



Bài 37 (trang 87 SGK Toán 6 tập 2): Cho hai tia Oy, Oz cùng nằm trên một nửa mặt phẳng có bờ chứa tia Ox. Biết góc xOy = 30o, góc xOz = 120o.
a) Tính số đo góc yOz
b) Vẽ tia phân giác Om của góc xOy, tia phân giác On của góc xOz. Tính số đo góc mOn
Lời giải:


