Giải bài tập SBT Toán 6 bài: Ôn tập chương 3
Bài tập môn Toán lớp 6
Giải bài tập SBT Toán 6 bài: Ôn tập chương 3 được VnDoc sưu tầm và đăng tải, tổng hợp lý thuyết. Đây là lời giải hay cho các câu hỏi trong sách bài tập nằm trong chương trình giảng dạy môn Toán lớp 6. Hi vọng rằng đây sẽ là những tài liệu hữu ích trong công tác giảng dạy và học tập của quý thầy cô và các em học sinh.
Giải bài tập SBT Toán 6 bài 15: Tìm một số biết giá trị một phân số của nó
Giải bài tập SBT Toán 6 bài 16: Tìm tỉ số của hai số
Giải bài tập SBT Toán 6 bài 17: Biểu đồ phần trăm
Câu 1: Tìm số nguyên x, biết:

Câu 2: Tính

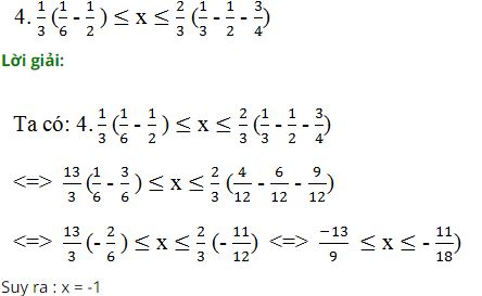
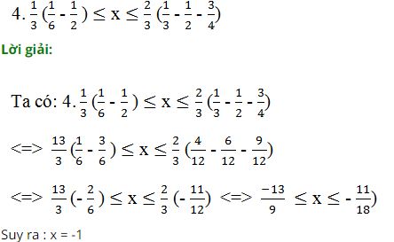
Câu 3: Tìm x, biết:

Câu 4: So sánh

Câu 5: Chứng minh

Câu 6: Một bác nông dân mang cam đi bán. Lần thứ nhất bán 1/2 số cam và 1/2 quả; lần thứ hai bán 1/3 số cam còn lại và 1/3 quả; lần thứ ba bán 1/4 số cam còn lại và 3/4 quả. Cuối cùng còn 24 quả cam. Hỏi số cam bác nông dân đã mang đi bán?
Lời giải:
Nếu tính luôn 3/4 quả, số cam còn lại sau lần thứ ba bán là:
