Giải Toán lớp 6 bài 11: Tính chất cơ bản của phép nhân phân số
Giải bài tập trang 38, 39, 40, 41 SGK Toán lớp 6 tập 2: Tính chất cơ bản của phép nhân phân số
- A. Lý thuyết tính chất cơ bản của phép nhân phân số
- B. Giải bài tập SGK Toán lớp 6 tập 2 trang 38, 39, 40, 41
- Bài 73 trang 38 SGK Toán 6 tập 2
- Bài 74 trang 39 SGK Toán 6 tập 2
- Bài 75 trang 39 SGK Toán 6 tập 2
- Bài 76 trang 39 SGK Toán 6 tập 2
- Bài 77 trang 39 SGK Toán 6 tập 2
- Bài 78 trang 39 SGK Toán 6 tập 2
- Bài 79 trang 39 SGK Toán 6 tập 2
- Bài 80 trang 39 SGK Toán 6 tập 2
- Bài 81 trang 41 SGK Toán 6 tập 2
- Bài 82 trang 41 SGK Toán 6 tập 2
- Bài 83 trang 41 SGK Toán 6 tập 2
Giải bài tập trang 38, 39, 40, 41 SGK Toán lớp 6 tập 2: Tính chất cơ bản của phép nhân phân số là tài liệu để giúp các em củng cố lại kiến thức trọng tâm của bài, biết cách giải bài tập chuẩn xác. Bên cạnh đó, tài liệu còn hỗ trợ các em trong quá trình tự trau dồi và nâng cao kỹ năng trả lời câu hỏi, biết cách vận dụng để giải các bài tập liên quan.
- Giải bài tập trang 36, 37 SGK Toán lớp 6 tập 2: Phép nhân phân số
- Giải bài tập trang 33, 34, 35 SGK Toán lớp 6 tập 2: Phép trừ phân số
- Giải bài tập trang 29, 30, 31 SGK Toán lớp 6 tập 2: Tính chất cơ bản của phép cộng phân số
- Giải bài tập trang 26, 27 SGK Toán lớp 6 tập 2: Phép cộng phân số
A. Lý thuyết tính chất cơ bản của phép nhân phân số
a) Tính chất giao hoán:
\(\frac{a}{b}.\frac{c}{d} = \frac{c}{d}.\frac{a}{b}\)
b) Tính chất kết hợp:
\(\left( {\frac{a}{b}.\frac{c}{d}} \right).\frac{p}{q} = \frac{a}{b}.\left( {\frac{c}{d}.\frac{p}{q}} \right)\)
c) Nhân với số 1:
\(\frac{a}{b}.1 = 1.\frac{a}{b} = \frac{a}{b}\)
d) Tính chất phân phối của phép nhân đối với phép cộng:
\(\frac{a}{b}.\left( {\frac{c}{d} + \frac{p}{q}} \right) = \frac{a}{b}.\frac{c}{d} + \frac{a}{b}.\frac{p}{q}\)
B. Giải bài tập SGK Toán lớp 6 tập 2 trang 38, 39, 40, 41
Bài 73 trang 38 SGK Toán 6 tập 2
Trong hai câu sau đây, câu nào đúng?
Câu thứ nhất: Để nhân hai phân số cùng mẫu, ta nhân hai tử với nhau và giữ nguyên mẫu.
Câu thứ hai: Tích của hai phân số bất kì là một phân số có tử là tích của hai tử và mẫu là tích của hai mẫu.
Hướng dẫn:
Muốn nhân hai phân số, ta nhân các tử với nhau và nhân các mẫu với nhau.
Lời giải:
Câu đúng là câu thứ hai.
Bài 74 trang 39 SGK Toán 6 tập 2
Điền các số thích hợp vào bảng sau:

Hướng dẫn:
Muốn nhân hai phân số, ta nhân các tử với nhau và nhân các mẫu với nhau.
Lời giải:

Bài 75 trang 39 SGK Toán 6 tập 2
Hoàn thành bảng nhân sau (chú ý rút ngắn gọn nếu có thể):

Hướng dẫn:
Muốn nhân hai phân số, ta nhân các tử với nhau và nhân các mẫu với nhau.
Lời giải:

Bài 76 trang 39 SGK Toán 6 tập 2
Tính giá trị các biểu thức sau:
\(A = \frac{7}{{19}}.\frac{8}{{11}} + \frac{7}{{19}}.\frac{3}{{11}} + \frac{{12}}{{19}}\)
\(B = \frac{5}{9}.\frac{7}{{13}} + \frac{5}{9}.\frac{9}{{13}} - \frac{5}{9}.\frac{3}{{13}}\)
\(C = \left( {\frac{{67}}{{111}} + \frac{2}{{33}} - \frac{{15}}{{117}}} \right).\left( {\frac{1}{3} - \frac{1}{4} - \frac{1}{{12}}} \right)\)
Hướng dẫn:
Sử dụng các tính chất cơ bản của phép nhân để tính giá trị của biểu thức một cách hợp lí.
Lời giải:
\(A = \frac{7}{{19}}.\frac{8}{{11}} + \frac{7}{{19}}.\frac{3}{{11}} + \frac{{12}}{{19}} = \frac{7}{{19}}.\left( {\frac{8}{{11}} + \frac{3}{{11}}} \right) + \frac{{12}}{{19}} = \frac{7}{{19}}.1 + \frac{{12}}{{19}} = \frac{{19}}{{19}} = 1\)
\(B = \frac{5}{9}.\frac{7}{{13}} + \frac{5}{9}.\frac{9}{{13}} - \frac{5}{9}.\frac{3}{{13}} = \frac{5}{9}.\left( {\frac{7}{{13}} + \frac{9}{{13}} - \frac{3}{{13}}} \right) = \frac{5}{9}.1 = \frac{5}{9}\)
\(C = \left( {\frac{{67}}{{111}} + \frac{2}{{33}} - \frac{{15}}{{117}}} \right).\left( {\frac{1}{3} - \frac{1}{4} - \frac{1}{{12}}} \right) = \left( {\frac{{67}}{{111}} + \frac{2}{{33}} - \frac{{15}}{{117}}} \right).0 = 0\)
Bài 77 trang 39 SGK Toán 6 tập 2
Tính giá trị các biểu thức sau:
\(A = a.\frac{1}{2} + a.\frac{1}{3} - a.\frac{1}{4}\) với
\(a = \frac{{ - 4}}{5}\)
\(B = \frac{3}{4}.b + \frac{4}{3}.b - \frac{1}{2}.b\) với
\(b = \frac{6}{{19}}\)
\(C = c.\frac{3}{4} + c.\frac{5}{6} - c.\frac{{19}}{{12}}\) với
\(c = \frac{{2002}}{{2003}}\)
Hướng dẫn:
Sử dụng các tính chất cơ bản của phép nhân để thu gọn biểu thức, sau đó thay số để tính giá trị tương ứng.
Lời giải:
\(A = a.\frac{1}{2} + a.\frac{1}{3} - a.\frac{1}{4} = a.\left( {\frac{1}{2} + \frac{1}{3} - \frac{1}{4}} \right) = a.\frac{7}{{12}}\)
Tại
\(a = \frac{{ - 4}}{5}\) thì
\(A = \left( {\frac{{ - 4}}{5}} \right).\frac{7}{{12}} = \frac{{ - 7}}{{15}}\)
\(B = \frac{3}{4}.b + \frac{4}{3}.b - \frac{1}{2}.b = b.\left( {\frac{3}{4} + \frac{4}{3} - \frac{1}{2}} \right) = b.\frac{{19}}{{12}}\)
Tại
\(b = \frac{6}{{19}}\) thì
\(B = \frac{6}{{19}}.\frac{{19}}{{12}} = \frac{1}{{12}}\)
\(C = c.\frac{3}{4} + c.\frac{5}{6} - c.\frac{{19}}{{12}} = c.\left( {\frac{3}{4} + \frac{5}{6} - \frac{{19}}{{12}}} \right) = c.0\)
Tại
\(c = \frac{{2002}}{{2003}}\) thì
\(C = \frac{{2002}}{{2003}}.0 = 0\)
Bài 78 trang 39 SGK Toán 6 tập 2
Căn cứ vào tính chất giao hoán và tính chất kết hợp của phép nhân số nguyên ta có thể suy ra tính chất giao hoán và tính chất kết hợp của phép nhân phân số.
Ví dụ. Tính chất giao hoán của phép nhân phân số:
\(\frac{a}{b}.\frac{c}{d} = \frac{{a.c}}{{b.d}} = \frac{{c.a}}{{d.b}} = \frac{c}{d}.\frac{a}{b}\)
Bằng cách tương tự, em hãy suy ra tính chất kết hợp của phép nhân phân số từ tính chất kết hợp của phép nhân số nguyên
Hướng dẫn:
Tính chất kết hợp của số nguyên: a.(b.c) = (a.b).c
Lời giải:
\(\left( {\frac{a}{b}.\frac{c}{d}} \right).\frac{p}{q} = \frac{{\left( {a.c} \right).p}}{{\left( {b.d} \right).q}} = \frac{{a.\left( {c.p} \right)}}{{b.\left( {d.q} \right)}} = \frac{a}{b}.\left( {\frac{c}{d}.\frac{p}{q}} \right)\)
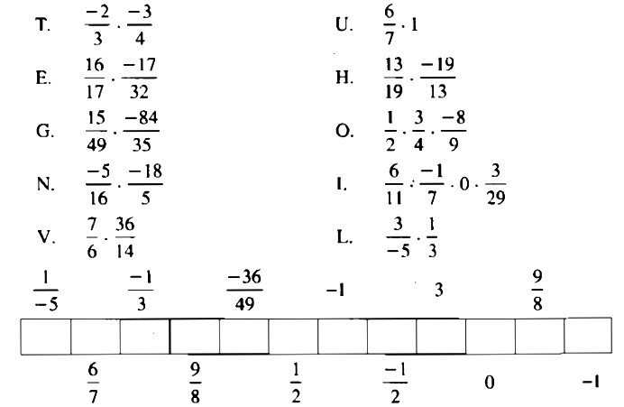
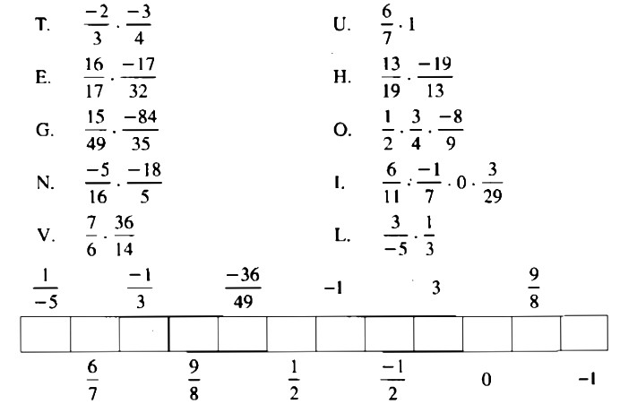
Bài 79 trang 39 SGK Toán 6 tập 2
Đố: Tìm tên một nhà toán học Việt Nam thời trước.
Em hãy tính các tính sau rồi viết chữ tương ứng với đáp số đúng vào các ô trống. Khi đó em sẽ biết được tên của một nhà toán học Việt nam nổi tiếng ở thế kỉ XV.

Hướng dẫn:
Sử dụng phép nhân phân số để tính các giá trị và tìm chữ tương ứng với đáp số.
Lời giải:

Bài 80 trang 39 SGK Toán 6 tập 2
Tính:
| a) |
b) |
| c) |
d) |
Hướng dẫn:
Thực hiện phép tính theo thứ tự từ trái sang phải, trong ngoặc trước ngoài ngoặc sau, nhân chia trước cộng trừ sau.
Lời giải:
a)
\(5.\frac{{ - 3}}{{10}} = \frac{{5.\left( { - 3} \right)}}{{10}} = \frac{{ - 15}}{{10}} = \frac{{ - 3}}{2}\)
b)
\(\frac{2}{7} + \frac{5}{7}.\frac{{14}}{{25}} = \frac{2}{7} + \frac{2}{5} = \frac{{10}}{{35}} + \frac{{14}}{{35}} = \frac{{24}}{{35}}\)
c)
\(\frac{1}{3} - \frac{5}{4}.\frac{4}{{15}} = \frac{1}{3} - \frac{1}{3} = 0\)
d)
\(\left( {\frac{3}{4} + \frac{{ - 7}}{2}} \right).\left( {\frac{2}{{11}} + \frac{{12}}{{22}}} \right) = \frac{{ - 11}}{4}.\frac{8}{{11}} = - 2\)
Bài 81 trang 41 SGK Toán 6 tập 2
Tính diện tích và chu vi một khu đất hình chữ nhật có chiều dài
\(\frac{1}{4}\)km và chiều rộng
\(\frac{1}{8}\)km.
Hướng dẫn:
Chu vi hình chữ nhật bằng tổng chiều dài và chiều rộng nhân 2.
Diện tích hình chữ nhật bằng tích chiều dài với chiều rộng.
Lời giải:
Chu vi của khu đất hình chữ nhật là:
\(\left( {\frac{1}{4} + \frac{1}{8}} \right).2 = \frac{3}{4}\)km
Diện tích của khu đất hình chữ nhật là:
\(\frac{1}{4}.\frac{1}{8} = \frac{1}{{32}}\)km2
Bài 82 trang 41 SGK Toán 6 tập 2
|
Toán vui: Một con ong và bạn Dũng cùng xuất phát từ A để đến B. Biết rằng mỗi giây ong bay được 5m và mỗi giờ Dũng đạp xe đi được 12km. Hỏi con ong hay bạn Dũng đến B trước?
|
![]() |
Hướng dẫn:
Tính vận tốc của con ong và bạn Dũng, sau đó so sánh vận tốc.
Vận tốc càng lớn thì thời gian đến B càng nhanh.
Lời giải:
Đổi 1 giờ = 3600 giây và 12km = 12000m
Vận tốc của con ong là: 5 : 1 = 5 (m/s)
Vận tốc của bạn Dũng là: 12000 : 3600 =
\(\frac{10}{3}\) (m/s)
Vì
\(\frac{10}{3}<5\) nên con ong đến B trước.
Bài 83 trang 41 SGK Toán 6 tập 2
Lúc 6 giờ 50 phút bạn Việt đi xe đạp từ A để đến B với vận tốc 15km/h. Lúc 7 giờ 10 phút bạn Nam đi xe đạp từ B để đến A với vận tốc 12km/h. Hai bạn gặp nhau ở C lúc 7 giờ 30 phút. Tính quãng đường AB.
Hướng dẫn:
Tính thời gian bạn Việt đi được tới chỗ gặp nhau → Quãng đường Việt đi được tới chỗ gặp nhau.
Tính thời gian bạn Nam đi được tới chỗ gặp nhau → Quãng đường Nam đi được tới chỗ gặp nhau.
Quãng đường = vận tốc . thời gian
Quãng đường AB = quãng đường bạn Việt đi được + quãng đường bạn Nam đi được.
Lời giải:
Thời gian bạn Việt đi được tới chỗ gặp nhau là: 7 giờ 30 phút - 6 giờ 50 phút = 40 phút =
\(\frac{2}{3}\) giờ
Quãng đường bạn Việt đi được là:
\(\frac{2}{3}.15=10\)km
Thời gian bạn Nam đi được tới chỗ gặp nhau là: 7 giờ 30 phút - 7 giờ 10 phút = 20 phút =
\(\frac{1}{3}\) giờ.
Quãng đường bạn Nam đi được là:
\(\frac{1}{3}.12=4\)km
Quãng đường AB dài: 10 + 4 = 14km
