Giải bài tập SBT Toán 6 bài 6: Phép trừ và phép chia
Giải bài tập SBT Toán 6 bài 6
- Giải SBT Toán lớp 6 trang 13 bài 62
- Giải SBT Toán lớp 6 trang 13 bài 63
- Giải SBT Toán lớp 6 trang 13 bài 64
- Giải SBT Toán lớp 6 trang 13 bài 65
- Giải SBT Toán lớp 6 trang 13 bài 66
- Giải SBT Toán lớp 6 trang 13 bài 67
- Giải SBT Toán lớp 6 trang 13 bài 68
- Giải SBT Toán lớp 6 trang 14 bài 69
- Giải SBT Toán lớp 6 trang 14 bài 70
- Giải SBT Toán lớp 6 trang 14 bài 71
- Giải SBT Toán lớp 6 trang 14 bài 72
- Giải SBT Toán lớp 6 trang 14 bài 73
- Giải SBT Toán lớp 6 trang 14 bài 74
- Giải SBT Toán lớp 6 trang 14 bài 75
- Giải SBT Toán lớp 6 trang 14 bài 76
- Giải SBT Toán lớp 6 trang 14 bài 77
- Giải SBT Toán lớp 6 trang 15 bài 78
- Giải SBT Toán lớp 6 trang 15 bài 79
- Giải SBT Toán lớp 6 trang 15 bài 80
- Giải SBT Toán lớp 6 trang 15 bài 81
- Giải SBT Toán lớp 6 trang 15 bài 82
- Giải SBT Toán lớp 6 trang 15 bài 83
- Giải SBT Toán lớp 6 trang 15 bài 84
- Giải SBT Toán lớp 6 trang 15 bài 85
Giải bài tập SBT Toán 6 bài 6: Phép trừ và phép chia được VnDoc sưu tầm và đăng tải, tổng hợp lý thuyết. Đây là lời giải hay cho các câu hỏi trong sách bài tập nằm trong chương trình giảng dạy môn Toán lớp 6. Hi vọng rằng đây sẽ là những tài liệu hữu ích trong công tác giảng dạy và học tập của quý thầy cô và các em học sinh.
Giải SBT Toán lớp 6 trang 13 bài 62
Tìm số tự nhiên x, biết:
- 2436 : x = 12
- 6.x – 5 = 613
- 12.(x – 1) = 0
- 0 : x = 0
Phương pháp giải
+) Muốn tìm số chia, ta lấy số bị chia chia cho thương
+) Muốn tìm số bị trừ ta lấy hiệu cộng với số trừ
+) Muốn tìm một số hạng trong phép nhân, ta lấy tích chia cho số hạng kia.
Lời giải:
a, 2436 : x = 12 ⇒ x = 2436 : 12 ⇒ x = 203
b, 6.x – 5 = 613 ⇒ 6.x = 613 + 5 ⇒ 6.x = 618 ⇒ x = 618: 6 = 103
c, 12.(x – 1) = 0 ⇒ x – 1 = 0 ⇒ x = 1
d, 0: x = 0 ⇒ x ∈ N*
Giải SBT Toán lớp 6 trang 13 bài 63
a. Trong phép chia một số tự nhiên cho 6, số dư có thể bằng bao nhiêu?
b. Viết dạng tổng quát của một số tự nhiên chia hết cho 4, chia cho 4 dư 1.
Lời giải:
- Trong phép chia một số tự nhiên cho 6, số dư có thể bằng: {0; 1; 2; 3; 4; 5}
- Dạng tổng quát của một số tự nhiên chia hết cho 4 : 4m (m ∈ N)
Dạng tổng quát của một số tự nhiên chia cho 4 dư 1 : 4m + 1 (m ∈ N)
Giải SBT Toán lớp 6 trang 13 bài 64
Tìm số tự nhiên x, biết:
- (x – 47) - 115 = 0
- 315 + (146 – x) = 401
Lời giải:
- (x- 47) -115 = 0 ⇒ x – 47 = 115 ⇒ x = 115 + 47 = 162
- 315 + (146 – x) = 401 ⇒ 146 – x = 401 – 315 ⇒ 146 – x = 86 ⇒ x = 60
Giải SBT Toán lớp 6 trang 13 bài 65
Tính nhẩm bằng cách thêm vào ở số hạng này, bớt đi ở số hạng kia cùng một số đơn vị: 57 + 89
Lời giải:
57 + 89 = (57 + 3) + (39 – 3) = 60 + 36 = 96
Giải SBT Toán lớp 6 trang 13 bài 66
Tính nhẩm bằng cách thêm vào số bị trừ và số trừ một số đơn vị: 213 – 98
Lời giải:
213 – 98 = (213 + 2) – (98 + 2) = 215 – 100 = 115
Giải SBT Toán lớp 6 trang 13 bài 67
Tính nhẩm bằng cách:
a. Nhân thừa số này, chia thừa số kia cho cùng một số: 28.25
b. Nhân cả số bị chia và số chia với cùng một số: 600 : 25
c. Áp dụng tính chất ( a + b ) : c = a : c + b : c (trường hợp chia hết): 72 : 6
Lời giải:
a. 28.25 = (28 : 4).(25 .4) = 7.100 = 700
b. 600 : 25 = (600.4) : (25.4) = 2400 : 100 = 24
c. 72: 6 = ( 60 + 12) : 6 = 60 : 6 + 12 : 6 = 10 + 2= 12
Giải SBT Toán lớp 6 trang 13 bài 68
Bạn Mai dùng 25000 đồng mua bút. Có hai loại bút : loại I giá 2000 đồng một chiếc, loại II giá 1500 đồng một chiếc. Bạn Mai mua được nhiều nhất bao nhiêu chiếc bút nếu:
- Mai chỉ mua bút loại I
- Mai chỉ mua bút loại II
- Mai mua cả hai loại bút với số lượng như nhau
Lời giải:
a) Ta có: 25000 : 2000 = 12 (dư 1000)
Vậy Mai mua được nhiều nhất 12 chiếc bút loại I
b) Ta có: 25000 : 1500 = 16 (dư 1000)
Vậy Mai mua được nhiều nhất 16 bút loại II.
c) Ta có: 25000 : 3500 = 7 (dư 500)
Vậy Mai mua được nhiều nhất 7 bút loại I và 7 bút loại II
Giải SBT Toán lớp 6 trang 14 bài 69
Một tàu hoả cần chở 892 khách tham quan. Biết rằng mỗi toa có 10 khoang, mỗi khoang có 4 chỗ ngồi. cần mấy toa để chở hết số khách tham quan?
Lời giải:
Số người ngồi trong một toa: 4.10 = 40 người
Số toa tàu cần chở: 892 : 40 = 22 (dư 12)
Vậy cần ít nhất 23 toa tàu để chở hết số người
Giải SBT Toán lớp 6 trang 14 bài 70
a) Cho 1538 + 3425 = S
Không làm phép tính hãy tìm giá trị của: S – 1538; S – 3425
b) Cho 9142 – 2451 = D
Không làm phép tính hãy tìm giá trị của: D + 2451; 9142 – D
Lời giải:
a. Ta có: 1538 + 3425 = S
Suy ra: S – 1538 = 3425
S – 3425 = 1538
b. Ta có: 9142 – 2451 = D
Suy ra: D + 2451 = 9142
9142 – D = 2451
Giải SBT Toán lớp 6 trang 14 bài 71
Việt và Nam cùng đi từ Hà Nội đến Vinh. Tính xem ai đi hành trình đó lâu hơn và lâu hơn mấy giờ, biết rằng:
- Việt khởi hành trước Nam 2 giờ và đến nơi trước Nam 3 giờ
- Việt khởi hành trước Nam 2 giờ và đến nơi sau Nam 1 giờ
Lời giải:
a) Nam đi lâu hơn Việt: 3 – 2 = 1 (giờ)
b) Việt đi lâu hơn Nam: 3 + 1= 3 (giờ)
Giải SBT Toán lớp 6 trang 14 bài 72
Tính hiệu của số tự nhiên lớn nhất và số tự nhiên nhỏ nhất đều gồm bốn chữ số 5, 3, 1, 0 (mỗi chữ số viết 1 lần)
Lời giải:
Số tự nhiên lớn nhất gồm 4 chữ số 5,3,1,0 (mỗi chữ số viết 1 lần) là 5310.
Số tự nhiên nhỏ nhất gồm 4 chữ số 5,3,1,0 (mỗi chữ số viết một lần) là 1035
Ta có: 5310 – 1035 = 4275
Giải SBT Toán lớp 6 trang 14 bài 73
Bác Tâm từ Mát-xco-va về đến Hà Nội lúc 16 giờ ngày 10/5 (theo giờ Hà Nội) Chuyến bay tổng cộng hết 14 giờ và Mát-xco-va chậm hơn giờ Hà Nội là 4 giờ (tức là đồng hồ ở Hà Nội chỉ 12 giờ thì đồng hồ ở Mát-xco-va chỉ 8 giờ). Bác Tâm khởi hành ở Mát- xco-va lúc nào (theo giờ Mát-xco-va)?
Lời giải:
Giờ bác Tâm khởi hành theo giờ Hà Nội là: 16 – 14 = 2 giờ
Giờ bác Tâm khởi hành theo giờ Mát-xco-va Là: 24 + 2 – 4 = 26 – 4 = 22 giờ ngày 9/5.
Giải SBT Toán lớp 6 trang 14 bài 74
Một phép trừ có tổng của số bị trừ, số trừ và hiệu bằng 1062. Số trừ lớn hơn hiệu là 279. Tìm số bị trừ và số trừ
Lời giải:
Ta có: số bị trừ + số trừ + hiệu = 1062
Mà: số trừ + hiệu = số bị trừ
Suy ra số bị trừ là: 1062 : 2 = 531
Lại có: số trừ - hiệu = 279
Mà số trừ + hiệu = 531
Suy ra số trừ là: (531 + 279) : 2 = 405
Vậy số bị trừ là 531, số trừ là 405
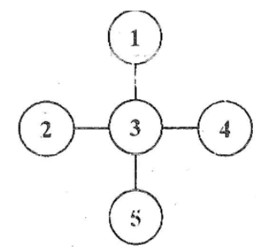
Giải SBT Toán lớp 6 trang 14 bài 75
Đố: đặt các số 1,2,3,4,5 vào các vòng tròn để tổng 3 số theo hàng dọc hoặc hàng ngang đều bằng 9 (hình dưới).

Lời giải:
Vì ba số theo hàng dọc và theo hàng ngang đều bằng 9 nên tổng của hai hàng bằng 9 + 9 = 18
Tổng của 5 số trong hình vẽ : 1+ 2 + 3 + 4 + 5 =15
Có sự chênh lệch là do số vòng tròn chính giữa được tính hai lần.
Như vậy số ở vòng tròn chính giữa phải là số chênh lệch: 18 – 15 = 3
Khi đó tổng của hai số ở hai đầu là: 9 – 3 = 6
Ta có: 1 + 5 = 2 + 4 = 6
Vậy có thể xếp hình dưới:

Giải SBT Toán lớp 6 trang 14 bài 76
Tính nhanh:
a, (1200 + 60) :12
b, (2100 – 42) : 21
Lời giải:
a, (1200 + 60) :12 = 1200 : 12 + 60 : 12 = 100 + 5 = 105
b, (2100 – 42) : 21 = 2100 : 21 – 42 : 21 = 100 – 2 = 98
Giải SBT Toán lớp 6 trang 14 bài 77
Tìm số tự nhiên x, biết:
a, x – 36 : 18 = 12
b, (x-36) : 18 = 12
Lời giải:
a, x – 36 : 18 = 12 ⇒ x – 2 = 12 ⇒ x = 12 + 2 = 14
b, (x – 36) : 18 = 12 ⇒ x – 36 = 12.18 ⇒ x – 36 = 216 ⇒ x = 216 +36 = 252
Giải SBT Toán lớp 6 trang 15 bài 78
Tìm thương
a. aaa : a
b. abab : ab
c. abc abc : abc
Lời giải:

Giải SBT Toán lớp 6 trang 15 bài 79
Viết một số A bất kì có 3 chữ số, viết tiếp ba chữ số đó một lần nữa, được số B có 6 chữ số. Chia số B cho 7, rồi chia thương tìm được cho 11, sau đó lại chia thương tìm được cho 13. Kết quả được số A, hãy giải thích tại sao?
Lời giải

Giải SBT Toán lớp 6 trang 15 bài 80
Bán kính Trái đất là 6380km
a, Xác định bán kính Mặt trăng, biết rằng nó là một trong các số 1200km, 1740km, 2100km và bán kính Trái đất gấp khoảng bốn lần bán kính Mặt trăng
b, Xác định khoảng cách từ Trái Đất đến Mặt trăng, biết rằng nó là một trong các số 191000km, 520000km, 384000km và khoảng cách đó gấp độ 30 lần đường kính Trái đất.
Lời giải:
a) Ta có: 6380 : 4 = 1595
Trong các số 1200, 1740, 2100 thì số 2740 gần với số 1595 nhất. Vậy bán kính Mặt Trăng là 1840km
b) Ta có: (6380.2).30 = 382800
Trong các số 191000, 520000, 384000 thì số 384000 là gần với số 382800 nhất. Vậy khoảng cách từ Trái đât đến Mặt trăng là 384000km
Giải SBT Toán lớp 6 trang 15 bài 81
Năm nhuận có 366 ngày. Hỏi năm nhuận có bao nhiêu tuần và còn dư mấy ngày?
Lời giải:
Ta có: 366 : 7 = 52 (dư 2)
Vậy năm nhuận có 52 tuần và dư 2 ngày
Giải SBT Toán lớp 6 trang 15 bài 82
Viết số tự nhiên nhỏ nhất có tổng các chữ số bằng 62
Lời giải:
Vì số tự nhiên nhỏ nhất nên số chữ số phải ít nhất. Đồng thời tổng các chữ số bằng 62 nên các chữ số phải lớn nhất.
Ta có: 62 : 9 = 6 (dư 8)
Do đó, số cần tìm gồm 6 chữ số 9 và 1 chữ số 8.
Vậy số cần tìm là 8 999 999
Giải SBT Toán lớp 6 trang 15 bài 83
Một phép chia có tổng của số chia và số bị chia là 72. Biết rằng thương là 3 và số dư là 8. Tìm số bị chia và số chia.
Lời giải:
Số chia là: (72 – 8) : 4 = 16
Số bị chia là: 72 – 16 = 56
Giải SBT Toán lớp 6 trang 15 bài 84
Tìm các số tự nhiên a biết rằng khi chia a cho 3 thì thương là 15.
Lời giải:
Gọi m là số dư của phép chia
Số tự nhiên a có dạng : a = 3.15 + m ( 0 ≤ m < 3)
Với m = 0 ta có: a = 3.15 + 0 = 45
Với m = 1 thì a = 3.15 + 1 = 46
Với m = 2 thì a = 3.15 + 2 = 47
Vậy a ∈ {45; 46; 47}
Giải SBT Toán lớp 6 trang 15 bài 85
Ngày 10-10-2000 rơi vào thứ 3. Hỏi ngày 10-10-2010 rơi vào thứ mấy?
Lời giải:
Từ ngày 10-10-2000 đến ngày 10-10-2010 có 10 năm, trong 10 năm đó thì có 2 năm nhuận là 2004 và 2008.
Suy ra tổng số ngày trong mười năm đó là: 8.365 + 2.366 = 3652 ngày
Tổng số tuần trong 10 năm đó: 3652 : 7 = 521 dư 5 ngày
Như vậy từ ngày 10-10-2000 đến ngày 10-10-2010 có 521 tuần và 5 ngày. Vậy ngày 10-10-2010 rơi vào chủ nhật.
Ngoài ra các em học sinh có thể tham khảo các bài giải SGK môn Toán lớp 6, Môn Ngữ văn 6, Môn Vật lý 6, môn Sinh Học 6, Lịch sử 6, Địa lý 6....và các đề thi học kì 1 lớp 6 và đề thi học kì 2 lớp 6 để chuẩn bị cho các bài thi đề thi học kì đạt kết quả cao.
Tham khảo các bài giải Toán lớp 6:
Giải bài tập SBT Toán 6 bài 4: Số phần tử của một tập hợp - Tập hợp con
Giải bài tập SBT Toán 6 bài 5: Phép cộng và phép nhân
Giải bài tập SBT Toán 6 bài 7: Lũy thừa với số mũ tự nhiên - Nhân hai lũy thừa cùng cơ số