Giải bài tập SBT Toán 6 bài 12: Phép chia phân số
Bài tập môn Toán lớp 6
Giải bài tập SBT Toán 6 bài 12: Phép chia phân số được VnDoc sưu tầm và đăng tải, tổng hợp lý thuyết. Đây là lời giải hay cho các câu hỏi trong sách bài tập nằm trong chương trình giảng dạy môn Toán lớp 6. Hi vọng rằng đây sẽ là những tài liệu hữu ích trong công tác giảng dạy và học tập của quý thầy cô và các em học sinh.
Giải bài tập SBT Toán 6 bài 10: Phép nhân phân số
Giải bài tập SBT Toán 6 bài 11: Tính chất cơ bản của phép nhân phân số
Giải bài tập SBT Toán 6 bài 13: Hỗn số - Số thập phân - Phần trăm
Câu 1: Tìm số nghịch đảo của các số sau:
a. -3 b. (-4)/5 c . -1 d. 13/27
Lời giải:
Số nghịch đảo của -3 là (-1)/3
Số nghịch đảo của (-4)/5 là (-5)/4
Số nghịch đảo của -1 là -1
Số nghịch đảo của 13/27 là 27/13
Câu 2: Tính giá trị của a, b, c, d rồi tìm nghịch đảo của chúng

Lời giải:

Câu 3: Tìm các cặp số nghịch đảo của nhau trong các cặp số sau:
a) 0,25 và 4;
b) 3,4 và 4,3;
c) 2 và 0,5;
d) 0,7 và 7.
Lời giải:
Muốn biết hai số có nghịch đảo nhau hay không, ta nhân chúng với nhau rồi tìm kết quả. Nếu tích của chúng bằng 1 thì chúng nghịch đảo nhau
a) 0,25.4 = 1. Vậy 0,25 và 4 là hai số nghịch đảo của nhau.
b) 3,4.4.3 = 14,62 ≠ 1. Vậy 3,4 và 4,3 không phải là 2 số nghịch đảo.
c) 2.0,25 = 1 Vậy 2 và 0,5 là hai số nghịch đảo của nhau.
d) 0,7.7 = 4,9 ≠ 1. Vậy 0,7 và 7 không phải là hai số nghịch đảo.
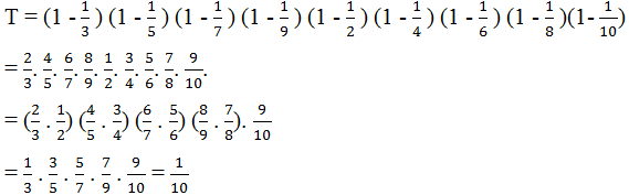
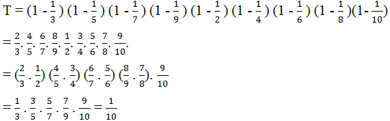
Câu 4: Tính tích rồi tìm số nghịch đảo của kết quả:
![]()
Lời giải:

Số nghịch đảo của 1/10 là 10
Câu 5: Chứng minh rằng tổng của một phân số dương với số nghịch đảo của nó thì không nhỏ hơn 2.
Lời giải:

Câu 6: Biết số nghịch đảo của -2 dưới dạng tổng các nghịch đảo của ba số nguyên khác nhau.
Lời giải:
Số nghịch đảo của -2 là (-1)/2
Ta có:
Nghịch đảo của ba số: là lượt là: -12, -4, -6
Vậy số nghịch đảo của -2 được viết dưới dạng tổng nghịch đảo của ba số nguyên là -4; -6; -12.
Câu 7: a) Một người đi bộ 12km trong 3 giờ. Hỏi trong 1 giờ, người ấy đi được bao nhiêu kilômét?
b) Một người đi xe đạp 8 km trong 2/3 giờ. Hỏi trong 1 giờ, người ấy đi được bao nhiêu kilômét?
Lời giải:
a) Quãng đường người đi bộ trong một giờ là: 12 : 3 = 4(km)
b) Quãng đường người đi xe đạp trong một giờ là: 8 : 2/3 = 8 . 3/2 = 12(km)