Giải bài tập SGK Toán lớp 6 - Hình học Chương 2: xOy + yOz = xOz
Giải bài tập SGK Toán lớp 6 Hình học Chương 2 bài 4
Giải bài tập SGK Toán lớp 6 Hình học Chương 2: xOy + yOz = xOz có đáp án chi tiết cho từng bài tập giúp các em hệ thống kiến thức học tập, ôn tập tốt toàn bộ phần hình học 6 chương 2. Mời các em học sinh cùng tham khảo chi tiết.
Hướng dẫn giải bài tập SGK Toán 6 tập 2 phần Hình học trang 82, 83
Bài 18 (trang 82 SGK Toán 6 tập 2): Hình 25 cho biết OA nằm giữa hai tia OB , OC,
![]()
Dùng thước đo góc kiểm tra lại kết quả.

Lời giải:
Vì tia OA nằm giữa hai tia OB, OC nên:
![]()
Kiến thức áp dụng
Nếu tia Oy nằm giữa hai tia Ox và Oz thì ![]()
Bài 19 (trang 82 SGK Toán 6 tập 2): Hình 26 cho biết hai góc kề bù xOy và yOy', xOy = 120o. Tính góc yOy'.

Lời giải:

Vậy góc yOy' = 60o.
Kiến thức áp dụng
Hai góc kề bù có tổng bằng 180º.
Bài 20 (trang 82 SGK Toán lớp 6 tập 2):


Lời giải:

Kiến thức áp dụng
Nếu tia Oy nằm giữa hai tia Ox và Oz thì
![]()
Hai góc phụ nhau là hai góc có tổng số đo bằng 90º.
Bài 21 (trang 82 SGK Toán 6 tập 2):
a) Đo các góc ở hình 28 a, b.
b) Viết tên các cặp góc phụ nhau ở hình 28b.

Lời giải:
a) Đo góc ta được:

b) Các cặp góc phụ nhau ở hình 28b là:

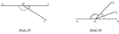
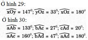
Bài 22 (trang 82 SGK Toán 6 tập 2): a) Đo các góc ở hình 29, 30.
b) Viết tên các cặp góc bù nhau ở hình 30.

Lời giải:
a) Đo góc ta được:

b) Các cặp góc bù nhau ở hình 30 là:

Bài 23 (trang 83 SGK Toán 6 tập 2): Hình 31 cho biết hai tia AM và AN đối nhau,
![]()
tia AQ nằm giữa hai tia AN và AP. Hãy tính số đo x của góc PAQ.

Lời giải:

Kiến thức áp dụng
Nếu tia Oy nằm giữa hai tia Ox và Oz thì
![]()