Giải bài tập SBT Toán 6 bài 10: Phép nhân phân số
Bài tập môn Toán lớp 6
Giải bài tập SBT Toán 6 bài 10: Phép nhân phân số được VnDoc sưu tầm và đăng tải, tổng hợp lý thuyết. Đây là lời giải hay cho các câu hỏi trong sách bài tập nằm trong chương trình giảng dạy môn Toán lớp 6. Hi vọng rằng đây sẽ là những tài liệu hữu ích trong công tác giảng dạy và học tập của quý thầy cô và các em học sinh.
Giải bài tập SBT Toán 6 bài 8: Tính chất cơ bản của phép cộng phân số
Giải bài tập SBT Toán 6 bài 9: Phép trừ phân số
Giải bài tập SBT Toán 6 bài 11: Tính chất cơ bản của phép nhân phân số
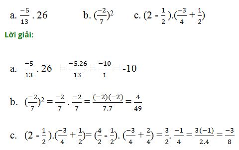
Câu 1: Làm tính nhân

Câu 2: Tính

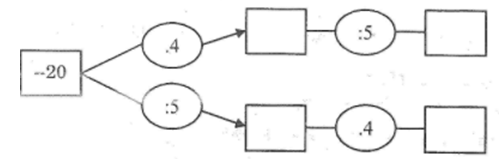
Câu 3: Hoàn thành sơ đồ sau để thực hiện phép nhân (-20).4/5.

Từ cách làm trên, em hãy điền các từ thích hợp vào câu sau:
Khi nhân một số nguyên với một phân số, ta có thể:
- Nhân số đó với ….rồi lấy kết quả ….hoặc
- Chia số đó cho …rồi lấy kết quả ….
Áp dụng:

Câu 4: Tính

Lời giải

Câu 5:
