Giải bài tập trang 51, 52, 53 SGK Toán lớp 6 tập 2: Tìm giá trị phân số của một số cho trước
Giải bài tập trang 51, 52, 53 SGK Toán lớp 6 tập 2: Tìm giá trị phân số của một số cho trước
Để củng cố lại kiến thức và định hướng được cách giải bài tập hiệu quả, mời các em học sinh cùng tham khảo tài liệu do VnDoc sưu tầm và tổng hợp: Giải bài tập trang 51, 52, 53 SGK Toán lớp 6 tập 2: Tìm giá trị phân số của một số cho trước. Trong đó, tài liệu bao gồm 2 phần: tóm tắt lý thuyết tìm giá trị phân số của một số cho trước và hướng dẫn giải bài tập trang 51, 52, 53 SGK Toán lớp 6 tập 2. Hi vọng các em sẽ nhanh chóng hoàn thành tốt bài tập và đạt kết quả học tập như mong muốn.
Giải bài tập trang 46, 47, 48, 49, 50 SGK Toán lớp 6 tập 2: Hỗn số - Số thập phân - Phần trăm
Giải bài tập trang 43, 44 SGK Toán lớp 6 tập 2: Phép chia phân số
Giải bài tập trang 38, 39, 40, 41 SGK Toán lớp 6 tập 2: Tính chất cơ bản của phép nhân phân số
Giải bài tập trang 36, 37 SGK Toán lớp 6 tập 2: Phép nhân phân số
Lý thuyết tìm giá trị phân số của một số cho trước

Giải bài tập trang 51, 52, 53 SGK Toán lớp 6 tập 2
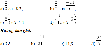
Bài 115 - Trang 51 - Phần số học SGK Toán 6 Tập 2
Tìm:

Bài 116 - Trang 51 - Phần số học SGK Toán 6 Tập 2
Hãy so sánh 16% của 25 và 25% của 16. Dựa vào nhận xét đó hãy tính nhanh.
a) 84% của 25 b) 48% của 50.
Hướng dẫn giải.

Do đó 16% của 25 bằng 25% của 16.
a) Tương tự 84% của 25 bằng 25% của 84 mà 25% của 84 bằng 84 : 4 = 21.
Vậy 84% của 25 bằng 21.
b) 48% của 50 bằng 50% của 48, mà 50% của 48 bằng 48 : 2 = 24.
Vậy 48% của 50 bằng 24.
Bài 117 - Trang 51 - Phần số học SGK Toán 6 Tập 2
Biết rằng 13,21 . 3 = 39,63 và 39,63 : 5 = 7,926. Hãy tìm 3/5 của 13,21 và 5/3 của 7,926 mà không cần tính toán.
Hướng dẫn giải.

Bài 118 - Trang 52 - Phần số học SGK Toán 6 Tập 2
Tuấn có 21 viên bi. Tuấn cho Dũng 3/7 số bi của mình. Hỏi
a) Dũng được Tuấn cho bao nhiêu viên bi?
b) Tuấn còn lại bao nhiêu viên bi?
Hướng dẫn giải.
a) Dũng được Tuấn cho 9 viên bi
b) Tuấn còn lại 12 viên bi.
Bài 119 - Trang 52 - Phần số học SGK Toán 6 Tập 2
Đố: An nói: "Lấy một phần hai rồi đem chia cho một phần hai sẽ được kết quả là một phần hai" Đố em, bạn An nói thế có đúng không?
Hướng dẫn giải. An nói đúng.