Bài tập Toán lớp 6: Tính chất cơ bản của phép nhân phân số
Bài tập Tính chất cơ bản của phép nhân phân số lớp 6
Bài tập Toán lớp 6: Tính chất cơ bản của phép nhân phân số bao gồm 2 phần Trắc nghiệm và Tự luận có đáp án chi tiết cho từng phần giúp các em học sinh ôn tập, củng cố kỹ năng giải Toán lớp 6 Chương 3 Phân số, chuẩn bị cho các bài thi môn Toán lớp 6 trong năm học. Mời các em học sinh tham khảo chi tiết.
Bài tập Tính chất cơ bản của phép nhân phân số Toán lớp 6
I. Câu hỏi trắc nghiệm
Câu 1: Chọn phát biểu đúng nhất trong các phát biểu sau:
A. Muốn nhân hai phân số, ta lấy tử số nhân với tử số, mẫu số nhân với mẫu số
B. Phân số nào nhân với 1 cũng bằng chính nó
C. Phân số nào nhân với 0 cũng bằng 0
D. Cả A, B, C đều đúng
Đáp án
Muốn nhân hai phân số, ta lấy tử sô nhân với tử số, mẫu số nhân với mẫu số
Phân số nào nhân với 1 cũng bằng chính nó
Phân số nào nhân với 0 cũng bằng 0
Vậy cả A, B, C đều đúng
Chọn đáp án D
Câu 2: Phép nhân phân số có những tính chất nào?
A. Tính chất giao hoán
B. Tính chất kết hợp
C. Tính chất nhân phân phối
D. Tất cả các tính chất trên
Đáp án
Phép nhân phân số cũng có các tính chất tương tự phép nhân số tự nhiên như tính chất giao hoán, tính chất kết hợp, tính chất phân phối
Chọn đáp án D
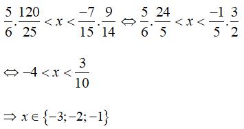
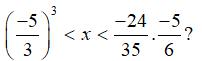
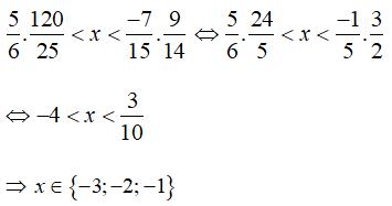
Câu 3: Tìm số nguyên x biết

A. x ∈ {-3; -2; -1}
B. x ∈ {-4; -3; -2; -1}
C. x ∈ {-3; -2}
D. x ∈ {-3; -2; -1; 0}
Đáp án

Chọn đáp án A
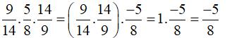
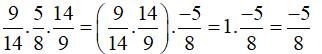
Câu 4: Tính

A. -15/28
B. -9/28
C. -5/8
D. -7/8
Đáp án

Chọn đáp án C
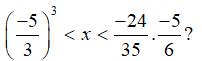
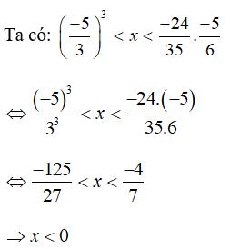
Câu 5: Có bao nhiêu giá trị nguyên dương của x thỏa mãn

A. 1
B. 0
C. 2
D. 3
Đáp án

Do yêu cầu đề bài x nguyên dương nên không co giá trị nào thỏa mãn
Chọn đáp án B
II. Bài tập tự luận
Câu 1: Tính giá trị các biểu thức sau:

Đáp án
a) Ta có:

b) Ta có:

Câu 2: Lúc 6 giờ 50 phút Việt đi xe đạp từ A đến B với vận tốc 15km/h. Lúc 7 giờ 10 phút bạn Nam đi xe đạp từ B để đến A với vận tốc 12km/h. Hai bạn gặp nhau ở C lúc 7 giờ 30 phút. Tính quãng đường AB.
Đáp án
Thời gian bạn Việt đi quãng đường AC là:
7h30ph – 6h45ph = 40ph = 2/3 (h)
Quãng đường AC dài: 15.(2/3) = 10 (km)
Thời gian bạn Nam đi quãng đường BC là:
7h30ph – 7h 10ph = 20ph = 1/3 h.
Quãng đường BC dài: 12.(1/3) = 4 (km).
Độ dài quãng đường AB là: 10 + 4 = 14 (km).
Lý thuyết và Bài tập Tính chất cơ bản của phép nhân phân số Toán lớp 6:
- Giải bài tập trang 38, 39, 40, 41 SGK Toán lớp 6 tập 2: Tính chất cơ bản của phép nhân phân số
- Giải bài tập SBT Toán 6 bài 11: Tính chất cơ bản của phép nhân phân số
- Lý thuyết Toán lớp 6: Tính chất cơ bản của phép nhân phân số
Trên đây VnDoc tổng hợp các kiến thức Bài tập Toán lớp 6: Tính chất cơ bản của phép nhân phân số, ngoài ra các em học sinh có thể tham khảo các bài giải SGK môn Toán lớp 6, Môn Ngữ văn 6, Môn Vật lý 6, môn Sinh Học 6, Lịch sử 6, Địa lý 6....và các đề thi học kì 1 lớp 6 và đề thi học kì 2 lớp 6 để chuẩn bị cho các bài thi đề thi học kì đạt kết quả cao