Lý thuyết Toán lớp 6: Hình học - Tia phân giác của góc
Lý thuyết Tia phân giác của góc
Lý thuyết Toán lớp 6: Hình học - Tia phân giác của góc cho biết số đo bao gồm các ví dụ và các bài giải bài tập chi tiết cho các em học sinh tham khảo, củng cố kỹ năng giải Toán lớp 6 Hình học Chương 2, chuẩn bị cho các bài kiểm tra trong năm học. Mời các em học sinh tham khảo chi tiết.
Lý thuyết Tia phân giác của góc Toán lớp 6
1. Tia phân giác của một góc
Tia phân giác của một góc là tia nằm giữa hai cạnh của góc và tạo với hai cạnh ấy hai góc bằng nhau

Từ định nghĩa ta suy ra
Tia Oz là tia phân giác của ∠xOy ⇔ ∠xOz = ∠zOy và tia Oz nằm giữa hai tia Ox; Oy
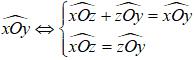
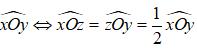
Hoặc tia Oz là tia phân giác của

Hoặc tia Oz là tia phân giác của

2. Cách vẽ tia phân giác của một góc
Cách 1: Dùng thức đo góc
Cách 2: Gấp giấy
Chú ý:
Đường thẳng chứa tia phân giác của một góc là đường phân giác của góc đó.
Bài tập Tia phân giác của góc lớp 6:
- Giải bài tập SBT Toán 6 bài 6: Tia phân giác của góc
- Giải bài tập SGK Toán lớp 6 - Hình học Chương 2: Tia phân giác của góc
- Bài tập Toán lớp 6: Tia phân giác của góc
Trên đây VnDoc tổng hợp các kiến thức Lý thuyết Toán lớp 6: Tia phân giác của góc, ngoài ra các em học sinh có thể tham khảo các bài giải SGK môn Toán lớp 6, Môn Ngữ văn 6, Môn Vật lý 6, môn Sinh Học 6, Lịch sử 6, Địa lý 6....và các đề thi học kì 1 lớp 6 và đề thi học kì 2 lớp 6 để chuẩn bị cho các bài thi đề thi học kì đạt kết quả cao.