Giao diện mới của VnDoc Pro: Dễ sử dụng hơn - chỉ tập trung vào lớp bạn quan tâm. Vui lòng chọn lớp mà bạn quan tâm: Lưu và trải nghiệm
Đóng
Điểm danh hàng ngày
  • Hôm nay +3
  • Ngày 2 +3
  • Ngày 3 +3
  • Ngày 4 +3
  • Ngày 5 +3
  • Ngày 6 +3
  • Ngày 7 +5
Bạn đã điểm danh Hôm nay và nhận 3 điểm!
Nhắn tin Zalo VNDOC để nhận tư vấn mua gói Thành viên hoặc tải tài liệu Hotline hỗ trợ: 0936 120 169

Bài tập Tìm giá trị phân số của một số cho trước Toán lớp 6

Lớp: Lớp 6
Môn: Toán
Dạng tài liệu: Lý thuyết
Loại File: PDF + Word
Phân loại: Tài liệu Tính phí

Bài tập Toán lớp 6: Tìm giá trị phân số của một số cho trước bao gồm các ví dụ và các bài giải bài tập chi tiết cho các em học sinh tham khảo, củng cố kỹ năng giải Toán lớp 6 Số học Chương 3 - Phân số, chuẩn bị cho các bài kiểm tra trong năm học. Mời các em học sinh tham khảo chi tiết.

Tìm giá trị phân số của một số cho trước Toán lớp 6

I. Câu hỏi trắc nghiệm

Câu 1: Khánh có 45 cái kẹo. Khánh cho Linh 2/3 số kẹo đó. Hỏi Khánh cho Linh bao nhiêu cái kẹo?

A. 30 cái kẹo

B. 36 cái kẹo

C. 40 cái kẹo

D. 18 cái kẹo

Lời giải

Khánh cho Linh số kẹo là:

45.(2/3) = 30 (cái kẹo)

Vậy Khánh cho Linh 30 cái kẹo

Chọn đáp án A

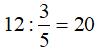
Câu 2: Biết 3/5 số học sinh giỏi của lớp 6A là 12 học sinh . Hỏi lớp 6A có bao nhiêu học sinh giỏi?

A. 12 học sinh giỏi

B. 15 học sinh giỏi

C. 14 học sinh giỏi

D. 20 học sinh giỏi

Lời giải

Lớp 6A có số học sinh giỏi là:

 Tìm giá trị phân số của một số cho trước(học sinh giỏi)

Vậy lớp 6A có 20 học sinh giỏi

Chọn đáp án D

Câu 3: Tìm chiều dài cuả một đoạn đường, biết rằng 4/7 đoạn đường đó dài 40km

A. 75km

B. 48km

C. 70km

D. 80km

Lời giải

Chiều dài đoạn đường đó là:

 Tìm giá trị phân số của một số cho trước(học sinh giỏi)

Vậy chiều dài đoạn đường là

Chọn đáp án C

II. Bài tập tự luận

Câu 1: Lớp 6A có 45 học sinh, trong đó 2/3 số học sinh thích đá bóng, 60% thích đá cầu, 2/9 thích chơi bóng bàn và 4/15 số học sinh thích chơi bóng chuyền. Tính số học sinh lớp 6A thích chơi đá bóng, đá cầu, chơi bóng bàn và bóng chuyền.

Lời giải

Để tìm số học sinh thích chơi bóng đá, ta phải tìm 2/3 của 45 học sinh

Muốn thế, ta lấy 45 chia cho 3 rồi nhân với 2, tức ta nhân 45 với 2/3

Ta có: 45.(2/3) = 30 (học sinh)

Tương tự, với số học sinh thích đá cầu có 45.60% = 27 (học sinh)

Số học sinh thích chơi bóng bàn là 45.(2/9) = 10 (học sinh)

Số học sinh thích chơi bóng chuyền là 45.(4/15) = 12 (học sinh)

Câu 2: 2/5 của số a là 480. Vậy 12,5% của số a là?

Lời giải

Số a = 480 : (2/5) = 1200

12,5% của số a là 1200.12,5% = 150

Lý thuyết và Bài tập Tìm giá trị phân số của một số cho trước Toán lớp 6:

Trên đây VnDoc tổng hợp các kiến thức ngoài ra Bài tập Tìm giá trị phân số của một số cho trước Toán lớp 6 các em học sinh có thể tham khảo các bài giải SGK môn Toán lớp 6, Môn Ngữ văn 6, Môn Vật lý 6, môn Sinh Học 6, Lịch sử 6, Địa lý 6....và các đề thi học kì 1 lớp 6 đề thi học kì 2 lớp 6 để chuẩn bị cho các bài thi đề thi học kì đạt kết quả cao.

Chọn file muốn tải về:
Đóng Chỉ thành viên VnDoc PRO/PROPLUS tải được nội dung này!
Đóng
79.000 / tháng
Đặc quyền các gói Thành viên
PRO
Phổ biến nhất
PRO+
Tải tài liệu Cao cấp 1 Lớp
30 lượt tải tài liệu
Xem nội dung bài viết
Trải nghiệm Không quảng cáo
Làm bài trắc nghiệm không giới hạn
Mua cả năm Tiết kiệm tới 48%

Có thể bạn quan tâm

Xác thực tài khoản!

Theo Nghị định 147/2024/ND-CP, bạn cần xác thực tài khoản trước khi sử dụng tính năng này. Chúng tôi sẽ gửi mã xác thực qua SMS hoặc Zalo tới số điện thoại mà bạn nhập dưới đây:

Số điện thoại chưa đúng định dạng!
Số điện thoại này đã được xác thực!
Bạn có thể dùng Sđt này đăng nhập tại đây!
Lỗi gửi SMS, liên hệ Admin
Sắp xếp theo
🖼️

Lý Thuyết Toán 6

Xem thêm
🖼️

Gợi ý cho bạn

Xem thêm