Bài tập Toán lớp 6: Phân số bằng nhau
Bài tập Phân số bằng nhau lớp 6
Bài tập Toán lớp 6: Phân số bằng nhau bao gồm 2 phần Trắc nghiệm và Tự luận có đáp án chi tiết cho từng phần giúp các em học sinh ôn tập, củng cỗ kỹ năng giải Toán lớp 6, chuẩn bị cho các bài thi môn Toán lớp 6 trong năm học. Mời các em học sinh tham khảo chi tiết
Bài tập Phân số bằng nhau Toán lớp 6
I. Câu hỏi trắc nghiệm
Câu 1: Phân số nào dưới đây bằng với phân số -2/5?
A. 4/10
B. -6/15
C. 6/15
D. -4/-10
Đáp án
Đáp án A: Vì -2.10 ≠ 4.5 nên -2/5 ≠ 4/10 ⇒ A sai
Đáp án B: Vì (-2).15 = (-6).5 nên -2/5 = -6/15 ⇒ B đúng
Đáp án C: (-2).15 ≠ 6.5 nên -2/5 ≠ 6/15 ⇒ C sai
Đáp án D: Vì -2.(-10) ≠ (-4).5 nên -2/5 ≠ -4/-10 ⇒ D sai
Chọn đáp án B
Câu 2: Chọn câu sai?
A. 1/3 = 45/135
B. -13/20 = 26/-40
C. -4/15 = -16/-60
D. 6/7 = -42/-49
Đáp án
Đáp án A: Vì 1.135 = 3.45 nên 1/3 = 45/135 ⇒ A đúng
Đáp án B: Vì (-13).(-40) = 20.26 nên -13/20 = 26/-40 ⇒ B đúng
Đáp án C: Vì (-4).(-60) = 15.(-16) nên -4/15 ≠ -16/-60 ⇒ C sai
Đáp án D: Vì 6.(-49) = 7.(-42) nên 6/7 = -42/-49 ⇒ D đúng
Chọn đáp án C
Câu 3: Tìm số nguyên x biết 35/15 = x/3?
A. x = 7
B. x = 5
C. x = 15
D. x = 6
Đáp án

Chọn đáp án A
Câu 4: Điền số thích hợp vào chỗ chấm 15/90 = 5/...
A. 20
B. -60
C. 60
D. 30
Đáp án

Chọn đáp án D
Câu 5: Cho tập A = {1; -2; 3; 4}. Có bao nhiêu phân số có tử số và mẫu số thuộc A mà có tử số khác mẫu số và tử số trái dấu với mẫu số
A. 9
B. 6
C. 3
D. 12
Đáp án
Các phân số thỏa mãn đề bài là:

Vậy có 6 phân số thỏa mãn đề bài
Chọn đáp án B
II. Bài tập tự luận
Câu 1: Tìm 3 phân số bằng với phân số -2/5
Đáp án
Ta có: -4/10 = -2/5 vì (-4).5 = (-2).10
-6/15 = -2/5 vì (-6).5 = (-2).15
-8/20 = -2/5 vì (-8).5 = (-2).20
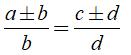
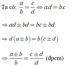
Câu 2: Cho hai phân số bằng nhau a/b = c/d. Chứng minh rằng:

Đáp án
Lý thuyết và bài tập Phân số bằng nhau Toán lớp 6:
- Lý thuyết Toán lớp 6: Phân số bằng nhau
- Giải bài tập trang 8, 9 SGK Toán lớp 6 tập 2: Phân số bằng nhau
- Giải bài tập SBT Toán 6 bài 2: Phân số bằng nhau
- Một số bài tập về biến đổi phân số
Trên đây VnDoc tổng hợp các kiến thức Bài tập Toán lớp 6: Phân số bằng nhau ngoài ra các em học sinh có thể tham khảo các bài giải SGK môn Toán lớp 6, Môn Ngữ văn 6, Môn Vật lý 6, môn Sinh Học 6, Lịch sử 6, Địa lý 6....và các đề thi học kì 1 lớp 6 và đề thi học kì 2 lớp 6 để chuẩn bị cho các bài thi đề thi học kì đạt kết quả cao.