Bài tập Phép chia phân số Toán lớp 6
Bài tập Toán lớp 6: Phép chia phân số bao gồm 2 phần Trắc nghiệm và Tự luận có đáp án chi tiết cho từng phần giúp các em học sinh ôn tập, củng cố kỹ năng giải Toán lớp 6 Chương 3 Phân số, chuẩn bị cho các bài thi môn Toán lớp 6 trong năm học. Mời các em học sinh tham khảo chi tiết.
Bài tập Phép chia phân số Toán lớp 6
Bài tập Phép chia phân số Toán lớp 6
I. Câu hỏi trắc nghiệm
Câu 1: Phân số nghịch đảo của phân số 5/6 là
A. -(5/6)
B. 6/5
C. -(6/5)
D. 1
Lời giải
Phân số nghịch đảo của phân số 5/6 là 6/5
Chọn đáp án B
Câu 2: Phân số nghịch đảo của -3 là
A. 1
B. 3
C. 1/(-3)
D. 1/3
Lời giải
Phân số nghịch đảo của -3 là 1/(-3)
Chọn đáp án C
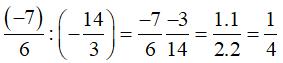
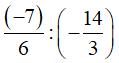
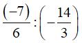
Câu 3: Tính
bằng
A. 3
B. 1
C. 1/3
D. 4/3
Lời giải
Ta có: 
Chọn đáp án D
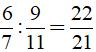
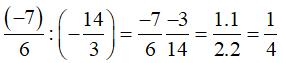
Câu 4: Kết quả của phép tính
là phân số có tử số là
A. 1/4
B. 1/2
C. -(1/2)
D. 1
Lời giải
Ta có: 
Chọn đáp án A
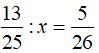
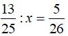
Câu 5: Tìm x biết

A. 2/5
B. 338/125
C. 5/2
D. 125/338
Lời giải

Chọn đáp án B
II. Bài tập tự luận
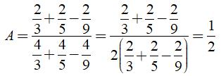
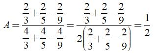
Câu 1: Tính giá trị của biểu thức

Lời giải
Ta có:

Vậy A = 1/2
Câu 2: Tìm hai số, biết rằng 9/11 của số này bằng 6/7 của số kia và tổng của hai số đó là 258.
Hiển thị lời giải
Số thứ nhất bằng
số thứ hai, 258 chính là giá trị của
số thứ hai 
+ Số thứ hai là:
+ Số thứ nhất là: 258 - 126 = 132
Lý thuyết và Bài tập Phép chia phân số Toán lớp 6:
- Giải bài tập trang 43, 44 SGK Toán lớp 6 tập 2: Phép chia phân số
- Giải bài tập SBT Toán 6 bài 12: Phép chia phân số
- Lý thuyết Toán lớp 6: Phép chia phân số
Trên đây VnDoc tổng hợp các kiến thức Bài tập Toán lớp 6: Phép chia phân số, ngoài ra các em học sinh có thể tham khảo các bài giải SGK môn Toán lớp 6, Môn Ngữ văn 6, Môn Vật lý 6, môn Sinh Học 6, Lịch sử 6, Địa lý 6....và các đề thi học kì 1 lớp 6 và đề thi học kì 2 lớp 6 để chuẩn bị cho các bài thi đề thi học kì đạt kết quả cao.