Bài tập Toán lớp 6: So sánh phân số
Bài tập so sánh phân số lớp 6
Bài tập Toán lớp 6: So sánh phân số bao gồm 2 phần Trắc nghiệm và Tự luận có đáp án chi tiết cho từng phần giúp các em học sinh ôn tập, củng cố kỹ năng giải Toán lớp 6 Chương 3 Phân số, chuẩn bị cho các bài thi môn Toán lớp 6 trong năm học. Mời các em học sinh tham khảo chi tiết.
Bài tập So sánh phân số Toán lớp 6
I. Câu hỏi trắc nghiệm
Câu 1: Điền dấu thích hợp vào chỗ chấm: -5/13 ... 7/13
A. >
B. <
C. =
D. Tất cả các đáp án trên đều sai
Đáp án
Vì -5 > -7 nên -5/13 > -7/13
Chọn đáp án A
Câu 2: Điền dấu thích hợp vào chỗ chấm -12/25 ... 17/-25
A. >
B. <
C. =
D. Tất cả các đáp án trên đều sai
Đáp án

Chọn đáp án A.
Câu 3: Chọn câu đúng

Đáp án

Chọn đáp án B
Câu 4: Chọn câu sai

Đáp án


Chọn đáp án D
Câu 5: Sắp xếp các phân số
theo thứ tự tăng dần ta được

Đáp án
Ta có:

Chọn đáp án C
Câu 6: Sắp xếp các phân số
theo thứ tự giảm dần ta được:

Đáp án
Ta có:

Chọn đáp án D
II. Bài tập tự luận
Câu 1: So sánh hai phân số

Đáp án

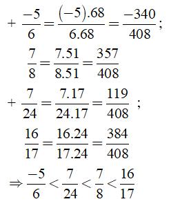
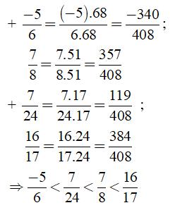
Câu 2: Sắp xếp các phân số theo thứ tự tăng dần: 
Đáp án
Ta có: BCNN(6, 8, 17, 24) = 408
Khi đó ta có:

Lý thuyết và bài tập So sánh phân số Toán lớp 6:
- Giải bài tập trang 23, 24 SGK Toán lớp 6 tập 2: So sánh phân số
- Giải bài tập SBT Toán 6 bài 6: So sánh phân số
- Lý thuyết Toán lớp 6: So sánh phân số
Trên đây VnDoc tổng hợp các kiến thức Bài tập Toán lớp 6: So sánh phân số ngoài ra các em học sinh có thể tham khảo các bài giải SGK môn Toán lớp 6, Môn Ngữ văn 6, Môn Vật lý 6, môn Sinh Học 6, Lịch sử 6, Địa lý 6....và các đề thi học kì 1 lớp 6 và đề thi học kì 2 lớp 6 để chuẩn bị cho các bài thi đề thi học kì đạt kết quả cao.