Bài tập Hỗn số. Số thập phân. Phần trăm Toán lớp 6
Bài tập Toán lớp 6: Hỗn số. Số thập phân. Phần trăm bao gồm 2 phần Trắc nghiệm và Tự luận có đáp án chi tiết cho từng phần giúp các em học sinh ôn tập, củng cố kỹ năng giải Toán lớp 6 Chương 3 Phân số, chuẩn bị cho các bài thi môn Toán lớp 6 trong năm học. Mời các em học sinh tham khảo chi tiết.
Bài tập Hỗn số. Số thập phân. Phần trăm
Bài tập Hỗn số. Số thập phân. Phần trăm Toán lớp 6
I. Câu hỏi trắc nghiệm
Câu 1: Viết phân số 4/3 dưới dạng hỗn số ta được

Lời giải
Ta có 4 : 3 bằng 1 (dư 1 ) nên 
Chọn đáp án D
Câu 2: Hỗn số
được viết dưới dạng phân só là

Lời giải
Ta có: 
Chọn đáp án B
Câu 3: Viết phân số 131/1000 dưới dạng số thập phân ta được
A. 0,131
B. 0,1331
C. 1,31
D. 0,0131
Lời giải
Ta có: 131/1000 = 0,131
Chọn đáp án A
Câu 4: Viết số thập phân 0,25 về dạng phân số ta được
A. 1/4
B. 5/2
C. 2/5
D. 1/5
Lời giải
Ta có: 0,25 = 25/100
0,25 = 25/100 = 1/4
Chọn đáp án A
Câu 5: Phân số 47/100 được viết dưới dạng phần trăm là:
A. 4,7%
B. 47%
C. 0,47%
D. 470%
Lời giải
Ta có: 47/100 = 47%
Chọn đáp án B
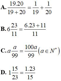
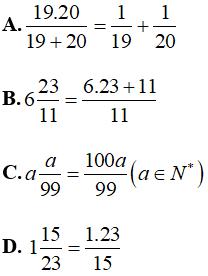
Câu 6: Chọn câu đúng

Lời giải

Chọn đáp án C
II. Bài tập tự luận
Câu 1: So sánh

Lời giải

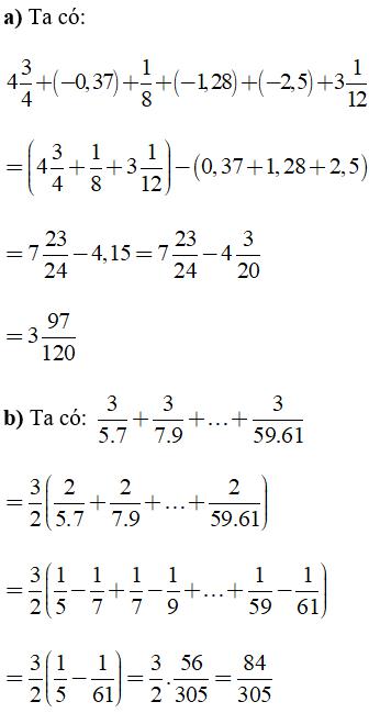
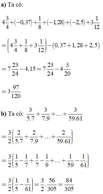
Câu 2: Tính

Hiển thị lời giải

Lý thuyết và Bài tập Hỗn số. Số thập phân. Phần trăm Toán lớp 6:
- Giải bài tập trang 46, 47, 48, 49, 50 SGK Toán lớp 6 tập 2: Hỗn số - Số thập phân - Phần trăm
- Giải bài tập SBT Toán 6 bài 13: Hỗn số - Số thập phân - Phần trăm
- Lý thuyết Toán lớp 6: Hỗn số. Số thập phân. Phần trăm
Trên đây VnDoc tổng hợp các kiến thức Bài tập Hỗn số. Số thập phân. Phần trăm Toán lớp 6, ngoài ra các em học sinh có thể tham khảo các bài giải SGK môn Toán lớp 6, Môn Ngữ văn 6, Môn Vật lý 6, môn Sinh Học 6, Lịch sử 6, Địa lý 6....và các đề thi học kì 1 lớp 6 và đề thi học kì 2 lớp 6 để chuẩn bị cho các bài thi đề thi học kì đạt kết quả cao.