Đề khảo sát Toán 12 năm 2025 Sở GD&ĐT Bình Thuận
Khảo sát chất lượng Toán 12
Lớp:
Lớp 12
Môn:
Toán
Dạng tài liệu:
Đề thi
Loại:
Tài liệu Lẻ
Loại File:
PDF
Phân loại:
Tài liệu Tính phí



Đề khảo sát chất lượng Toán 12 năm 2025 Sở Bình Thuận
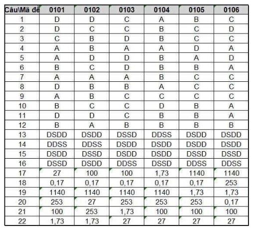
Đề thi khảo sát Toán 12 năm 2025 Sở GD&ĐT Bình Thuận có đáp án được VnDoc.com tổng hợp và xin gửi tới bạn đọc cùng tham khảo. Đề thi được biên soạn theo cấu trúc đề thi mới. Mỗi đề gồm có 12 câu hỏi trắc nghiệm nhiều phương án lựa chọn, 4 câu hỏi trắc nghiệm đúng sai và 6 câu hỏi trả lời ngắn. Thí sinh làm đề trong thời gian 90 phút. Đề có đáp án và lời giải chi tiết kèm theo. Mời các bạn cùng theo dõi chi tiết bài viết dưới đây để có thêm tài liệu ôn thi và khảo sát chất lượng lớp 12 nhé.
Đáp án đề khảo sát Toán 12 Sở Bình Thuận
