Đề khảo sát Vật lí 12 năm 2025 lần 3 cụm các trường THPT Bắc Ninh
Khảo sát chất lượng Vật lí 12
Lớp:
Lớp 12
Môn:
Vật Lý
Dạng tài liệu:
Đề thi
Loại:
Tài liệu Lẻ
Loại File:
PDF
Phân loại:
Tài liệu Tính phí

Trang 1/5 - Mã đề 0201
Họ và tên học sinh :..................................................... Số báo danh : ...................
Cho biết: π = 3,14; T (K) = t (°C) + 273; R = 8,31 J.mol
-1
.K
-1
; N
A
= 6,02.10
23
hạt/mol.
PHẦN I. CÂU TRẮC NGHIỆM NHIỀU PHƯƠNG ÁN LỰA CHỌN.
Thí sinh trả lời từ câu 1 đến câu 18. Mỗi câu thí sinh chỉ chọn một phương án.
Câu 1. Gọi p, V và T lần lượt là áp suất, thể tích và nhiệt độ tuyệt đối của n mol khí lí tưởng. Biết hằng số khí
lí tưởng là R. Phương trình Clapeyron của khối khí này là
A.
pV nRT
. B.
VT nRp
. C.
nR
pV
T
. D.
n
pV
RT
.
Câu 2. Khi nói về sự hoá hơi của chất lỏng, phát biểu nào sau đây sai?
A. Khi bay hơi, nội năng của chất lỏng giảm.
B. Sự bay hơi là sự hoá hơi xảy ra ở mặt thoáng của chất lỏng.
C. Khi bay hơi, nhiệt độ của chất lỏng giảm.
D. Sự bay hơi của chất lỏng xảy ra ở một nhiệt độ xác định.
Câu 3. Trong chân không, các bức xạ được sắp xếp theo thứ tự tăng dần của bước sóng là
A. tia X, tia tử ngoại, tia hồng ngoại. B. tia hồng ngoại, tia X, tia tử ngoại.
C. tia hồng ngoại, tia tử ngoại, tia X. D. tia tử ngoại, tia X, tia hồng ngoại.
Sử dụng các thông tin sau cho Câu 4 và Câu 5:
Một lò nung điện có công suất 20000 W làm nóng chảy hoàn toàn 2 kg đồng có nhiệt độ ban đầu
30 C.
Biết chỉ có 50% điện năng tiêu thụ của lò được dùng vào việc làm đồng nóng lên và làm đồng nóng chảy. Cho
biết nhiệt dung riêng và nhiệt nóng chảy riêng của đồng có giá trị lần lượt là
380J / (kg.K)c
;
5
1,80.10 J / kg,
nhiệt độ nóng chảy của đồng là
o
1084 C.
Câu 4. Nhiệt lượng cần cung cấp để làm nóng chảy hoàn toàn 2 kg đồng là
A. 360000 J. B. 441040 J. C. 801040 J. D. 1161040 J.
Câu 5. Thời gian cần làm nóng chảy hoàn toàn 2 kg đồng là
A. 80,104 s. B. 44,104 s. C. 36 s. D. 116,104 s.
Câu 6. Hình bên là đồ thị biểu diễn quá trình biễn đổi trạng thái từ trạng
thái (1) đến trạng thái (2) của một khối lượng khí lí tưởng xác định trong
hệ trục VOT. Trong hệ trục pOT, đồ thị biểudiễn quá trình biến đổi trạng
thái này thuộc hình nào sau đây?
A. Hình 3. B. Hình 4. C. Hình 2. D. Hình 1.
CỤM CÁC TRƯỜNG THPT,
CÁC TRUNG TÂM GDTX, GDNN-GDTX
TỈNH BẮC NINH
¯¯¯¯¯¯¯¯¯¯
(Đề thi có 05 trang)
ĐỀ KHẢO SÁT CHẤT LƯỢNG LỚP 12 LẦN 3
NĂM HỌC 2024 - 2025
Môn: Vật lí
Thời gian làm bài: 50 phút (không kể thời gian giao đề)
¯¯¯¯¯¯¯¯¯¯¯¯¯¯¯¯
Mã đề 0201

Trang 2/5 - Mã đề 0201
Câu 7. Khi đưa một chai nước lạnh từ trong tủ lạnh ra ngoài không khí, ta thấy thành chai bị ướt. Hiện tượng
trên liên quan đến quá trình
A. nóng chảy. B. đông đặc. C. ngưng tụ. D. hóa hơi.
Câu 8. Một sóng điện từ có tần số f truyền trong chân không với tốc độ là c. Bước sóng λ của sóng này được
tính bằng công thức nào sau đây?
A.
2
c
f
. B.
c
f
. C.
1
cf
. D.
cf
.
Câu 9. Tại một điểm trên đường sức từ, vectơ cảm ứng từ
B
có phương
A. trùng tiếp tuyến với đường sức từ. B. nằm ngang.
C. vuông góc với đường sức từ. D. thẳng đứng.
Sử dụng các thông tin sau cho Câu 10 và Câu 11:
Khi một người nói trước micro, màng rung
bên trong micro dao động làm ống dây di chuyển
qua lại trong từ trường của một thanh nam châm
vĩnh cửu, trục của ống dây trùng với trục của nam
châm. Khi đó trong ống dây xuất hiện dòng điện,
dòng điện này sẽ được dẫn ra mạch khuếch đại
rồi ra loa.
Câu 10. Dòng điện xuất hiện trong ống dây là
A. dòng điện không đổi.
B. dòng điện có độ lớn giảm dần.
C. dòng điện cảm ứng.
D. dòng điện có độ lớn tăng dần.
Câu 11. Biết ống dây có 12 vòng, tiết diện vòng dây là 40 cm
2
. Khi người phát ra một đơn âm khiến cuộn dây
di chuyển. Nếu tại một thời điểm, tốc độ biến thiên của cảm ứng từ qua ống dây là 5 T/s thì độ lớn suất điện
động xuất hiện trong ống dây là
A. 2400V. B. 0,24 V. C. 200 V. D. 0,02 V.
Câu 12. Bốn đoạn dây dẫn a, b, c, d có cùng chiều dài l được đặt
trong từ trường đều có véctơ cảm ứng từ
B
như hình vẽ. Các dòng
điện chạy qua các đoạn dây có cùng cường độ I. Lực từ do từ trường
đều tác dụng lên đoạn dây dẫn nào có độ lớn nhỏ nhất?
A. Đoạn c.
B. Đoạn d.
C. Đoạn b.
D. Đoạn a.
Sử dụng thông tin sau cho Câu 13 và Câu 14:
Vào năm 1935, một nhóm nghiên cứu đã dùng tia α bắn phá hạt nhân
16
8
O
theo phương trình
16
8
O X p
Câu 13. Hạt nhân
16
8
O
có số nucleon là
A. 8. B. 16. C. 12. D. 24.
Câu 14. Hạt nhân X trong sản phẩm phản ứng ở trên là
A.
20
10
Ne
. B.
23
11
Na
. C.
24
12
Mg
. D.
19
9
F
.

Trang 3/5 - Mã đề 0201
Câu 15. Hình bên là máy siêu âm dùng trong y học. Sóng âm do đầu dò phát ra có tần
số thuộc khoảng
A. từ 20 Hz đến 10 kHz.
B. nhỏ hơn 16 Hz.
C. lớn hơn 20 kHz.
D. từ 16 Hz đến 20 kHz.
Câu 16. Cho biết
238
92
U
và
235
92
U
là các chất phóng xạ có chu kì bán rã lần lượt là
9
1
4,5.10T
năm và
8
2
7,13.10T
năm. Hiện nay trong quặng urani thiên nhiên có lẫn
238
92
U
và
235
92
U
theo tỉ lệ số hạt là 160:1. Giả thiết ở thời
điểm tạo thành Trái đất thì tỉ lệ số hạt
238
92
U
và
235
92
U
là 1:1. Tuổi của Trái đất là bao nhiêu?
A. 5,48.10
9
năm. B. 6,20.10
9
năm. C. 4,91.10
9
năm. D. 7,14.10
9
năm.
Câu 17. Độ biến thiên nội năng của một vật
U A Q
với A > 0, Q < 0 cho biết quá trình sau đây?
A. Vật nhận công và nội năng giảm. B. Vật truyền nhiệt và nội năng giảm.
C. Vật nhận nhiệt và sinh công. D. Vật nhận công và truyền nhiệt.
Câu 18. Những tia nào sau đây không bị lệch trong điện trường và từ trường?
A. tia γ và tia β. B. tia α và tia X. C. tia α và tia β. D. tia γ và tia X.
PHẦN II. CÂU TRẮC NGHIỆM ĐÚNG SAI.
Thí sinh trả lời từ câu 1 đến câu 4. Trong mỗi ý a), b), c), d) ở mỗi câu, thí sinh chọn đúng hoặc sai.
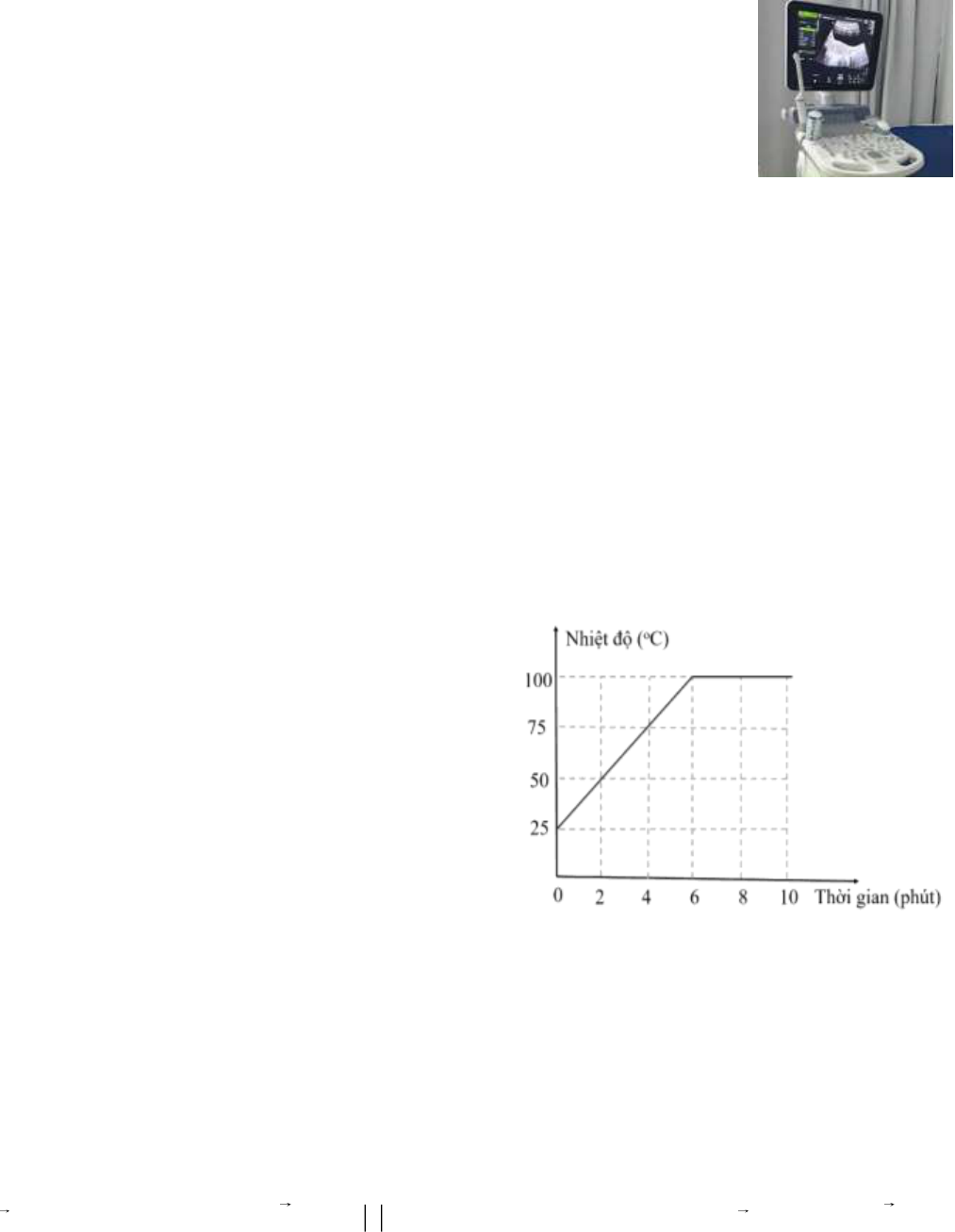
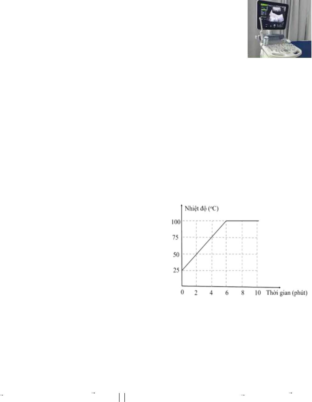
Câu 1. Trong thí nghiệm khảo sát nhiệt độ của nước trong quá trình chuyển thể. Một nhóm học sinh thực hiện
các nội dung sau: (I) Chuẩn bị các dụng cụ: Một bếp điện
có công suất không đổi, một nồi nước, nhiệt kế điện tử; (II)
Nhóm học sinh cho rằng nhiệt độ của nước sẽ tăng liên tục
trong theo thời gian đun. (III) Họ bật bếp điện để đun nước
trong nồi, dùng nhiệt kế điện tử đo nhiệt độ của nước trong
nồi và thu được kết quả như đồ thị hình bên. (IV) Dựa vào
đồ thị họ đưa ra hai kết luận:
- (1) Khi nước chưa sôi nhiệt độ của nước (theo thang nhiệt
độ Celsius) tỉ lệ thuận với với thời gian đun.
- (2) Nhiệt độ của nước không đổi trong suốt quá trình sôi.
a) Kết luận (1) của nhóm học sinh là sai.
b) Kết luận (2) của nhóm học sinh là sai.
c) Nội dung (II) là giả thuyết của nhóm học sinh.
d) Nội dung (III) là thí nghiệm kiểm tra giả thuyết của nhóm học sinh.
Câu 2. Một dòng hải lưu rộng lớn ở Bắc Bán Cầu chảy theo hướng Nam với vận tốc không đổi
0,6 m/s.v
Nước
biển trong dòng hải lưu này là một chất dẫn điện do chứa các ion hòa tan là ion sodium (Na⁺) và ion chlorine (Cl⁻).
Tại vùng này, thành phần thẳng đứng của từ trường Trái Đất có độ lớn
5
4,5.10 T
z
B
và thành phần nằm ngang
của từ trường Trái Đất song song với dòng hải lưu. Khi những hạt tích điện này di chuyển cùng với nước trong các
dòng chảy mạnh, chúng chịu tác dụng của lực từ của từ trường Trái Đất. Lực từ này làm tách các hạt mang điện trái
dấu ra xa nhau, điều này dẫn đến hình thành một điện trường giữa hai loại hạt. Trạng thái cân bằng sẽ được thiết lập
khi lực từ và lực điện có độ lớn bằng nhau. Biết độ lớn của lực từ tác dụng lên hạt mang điện q chuyển động với vận
tốc
v
trong từ trường có cảm ứng từ
B
là
F q vBsin
(α là góc hợp bởi với hướng của
v
và hướng của
B
), điện
tích nguyên tố là
19
1,6.10 .eC
∣∣
a) Thành phần nằm ngang của từ trường Trái Đất không tác dụng lực từ lên các ion.
b) Độ lớn cường độ điện trường khi trạng thái cân bằng được thiết lập là
5
8,5.10 V/m.
c) Khi trạng thái cân bằng được thiết lập, các ion chuyển động tròn đều.
d) Độ lớn lực từ tác dụng lên các ion là
24
4,32.10 N.
Đề khảo sát chất lượng Lý 12 năm 2025 cụm các trường THPT Bắc Ninh
Đề khảo sát Vật lí 12 năm 2025 lần 3 cụm các trường THPT Bắc Ninh có đáp án được VnDoc.com sưu tầm và xin gửi tới bạn đọc cùng tham khảo. Đề thi được biên soạn theo cấu trúc đề thi mới. Đề thi gồm có 18 câu hỏi trắc nghiệm nhiều phương án lựa chọn, 4 câu hỏi trắc nghiệm đúng sai và 6 câu trả lời ngắn. Thí sinh làm bài trong thời gian 50 phút. Đề có đáp án và lời giải chi tiết kèm theo. Mời các bạn cùng theo dõi chi tiết bài viết dưới đây để có thêm tài liệu ôn thi khảo sát chất lượng lớp 12 nhé