Đề khảo sát Vật lí 12 năm 2025 lần 1 Sở GD&ĐT Vĩnh Phúc
Khảo sát chất lượng Vật lí 12
Lớp:
Lớp 12
Môn:
Vật Lý
Dạng tài liệu:
Đề thi
Loại:
Tài liệu Lẻ
Loại File:
PDF
Phân loại:
Tài liệu Tính phí

Trang 1/4 - Mã đề 201
SỞ GD&ĐT VĨNH PHÚC
ĐỀ CHÍNH THỨC
Đề thi có 04 trang
KỲ THI KHẢO SÁT CHẤT LƯỢNG CÁC MÔN VĂN HÓA
CHO HỌC SINH LỚP 12 NĂM HỌC 2024-2025 - LẦN 1
BÀI KHẢO SÁT MÔN: VẬT LÍ
Thời gian: 50 phút (Không kể thời gian phát đề)
Họ, tên thí sinh:......................................................................... SBD:.....................
Mã đề thi
201
PHẦN I. Thí sinh trả lời từ câu 1 đến câu 18. Mỗi câu hỏi thí sinh chỉ chọn một phương án.
Câu 1. Hình bên là dự báo thời tiết ở tỉnh Vĩnh Phúc ngày 22/12/2024.
Theo thang nhiệt Kelvin, nhiệt độ thấp nhất và cao nhất trong ngày theo bảng
dự báo bên là
A. 292 K và 295 K. B. 292 K và 294 K.
C. 285 K và 295 K. D. 285 K và 292 K.
Câu 2. Một khối khí lí tưởng thực hiện biến đổi trạng thái từ trạng thái (1) sang
trạng thái (2) được biểu diễn như hình vẽ. Quá trình đó là
A. làm lạnh đẳng tích. B. đun nóng đẳng tích.
C. làm lạnh đẳng áp. D. đun nóng đẳng áp.
Câu 3. Một khối khí lí tưởng có n mol, áp suất p, thể tích V, nhiệt độ T và hằng
số khí lí tưởng là R. Phương trình Clapeyron là
A.
pV R
.
Tn
=
B.
nR
pV .
T
=
C.
pV
nR.
T
=
D.
pT
= nR.
V
Câu 4. Phát biểu nào sau đây sai khi nói về mô hình động học phân tử?
A. Giữa các phân tử chỉ có tương tác bằng lực hút.
B. Các phân tử chuyển động nhiệt càng nhanh thì nhiệt độ của vật càng cao.
C. Vật chất được cấu tạo từ một số lượng rất lớn các phân tử.
D. Các phân tử chuyển động nhiệt không ngừng.
Câu 5. Khi nói về dao động cơ tắt dần của một vật, phát biểu nào sau đây đúng?
A. Biên độ dao động của vật giảm dần theo thời gian.
B. Động năng của vật biến thiên theo hàm bậc nhất của thời gian.
C. Cơ năng của vật không thay đổi theo thời gian.
D. Lực cản của môi trường tác dụng lên vật càng nhỏ thì dao động tắt dần càng nhanh.
Câu 6. Nội dung thí nghiệm Brown là
A. quan sát cánh hoa trong nước bằng kính hiển vi.
B. quan sát chuyển động của cánh hoa.
C. quan sát chuyển động của hạt phấn hoa trong nước bằng kính hiển vi.
D. quan sát hạt phấn hoa bằng kính hiển vi.
Câu 7. Gọi k là hằng số Boltzmann, T là nhiệt độ tuyệt đối. Động năng tịnh tiến trung bình của phân tử khí lí
tưởng được xác định bởi công thức
A.
2
d
2
E = kT .
3
B.
2
d
3
E = kT
2
.
C.
d
3
E = kT
2
.
D.
d
2
E = kT.
3
Câu 8. Đặt bàn tay trái sao cho các đường sức từ xuyên vào lòng bàn tay, chiều từ cổ tay đến các ngón tay là
chiều dòng điện, khi đó chiều lực từ tác dụng lên dòng điện
A. là chiều của ngón cái choãi ra
o
90 .
B. ngược chiều từ cổ tay đến ngón tay.
C. ngược chiều của ngon cái choãi ra
o
90 .
D. cùng chiều với đường sức từ.
Câu 9. Một bác sĩ đang sử dụng ống tiêm không có kim để chuẩn bị lấy mẫu chất lỏng. Khi pit-tông được kéo
ra ngoài, thể tích khí trong xi lanh tăng lên và áp suất bên trong giảm đi, dẫn đến chất lỏng được hút vào trong.
Giả sử nhiệt độ không đổi và không có sự thất thoát khí. Khi thể tích khí bên trong ống tiêm tăng lên gấp đôi,
áp suất khí bên trong ống tiêm sẽ thay đổi như thế nào?
A. Tăng gấp đôi. B. Không thay đổi.
C. Tăng nhẹ nhưng không tỉ lệ thuận. D. Giảm một nửa.
Câu 10. Hoạt động y tế nào dưới đây không sử dụng ứng dụng của các thành tựu của Vật lí?

Trang 2/4 - Mã đề 201
A. Xạ trị. B. Chữa tật khúc xạ của mắt bằng laze.
C. Chụp X - quang. D. Lấy thuốc theo đơn.
Câu 11. Cho nhiệt hóa hơi riêng của nước là
6
2,3.10 J/kg.
Nhiệt lượng cần cung cấp để
m =100g
nước hóa hơi
hoàn toàn ở nhiệt độ sôi là
A. 320 kJ. B. 460 kJ. C. 690 kJ. D. 230 kJ.
Câu 12. Trong hệ trục tọa độ
(
)
T,V ,
đường biểu diễn nào sau đây biểu diễn đường đẳng áp?
A. Đường hypebol. B. Đường thẳng song song với trục OT.
C. Đường thẳng nếu kéo dài đi qua gốc tọa độ. D. Đường thẳng song song với trục OV.
Câu 13. Từ trường là một dạng của vật chất tồn tại trong không gian và tác dụng
A. lực từ lên nam châm và dòng điện khác đặt trong nó. B. lực hút lên các vật đặt trong nó.
C. lực điện lên điện tích đặt trong nó. D. lực đẩy lên các vật đặt trong nó.
Câu 14. Nhiệt độ không tuyệt đối (0 K) là nhiệt độ mà tại đó các phân tử có động năng chuyển động nhiệt
A. bằng không và thế năng tương tác giữa chúng là tối thiểu.
B. cực đại và thế năng tương tác giữa chúng là cực đại.
C. bằng không và thế năng tương tác giữa chúng là cực đại.
D. cực đại và thế năng tương tác giữa chúng là bằng không.
Câu 15. Một dây dẫn dài
50cm
được đặt vuông góc với các đường sức từ trong một từ trường đều. Cường độ
dòng điện chạy trong dây là
10 A,
lực từ tác dụng lên dây là
3N.
Độ lớn cảm ứng từ của từ trường là
A.
0,6T.
B.
6,7 T.
C.
1,5T.
D.
1, 8 T.
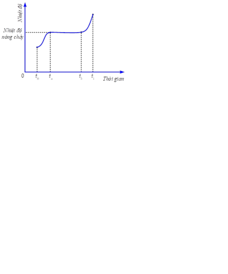
Câu 16. Hình bên là đồ thị sự thay đổi nhiệt độ của vật rắn kết tinh khi được làm nóng chảy. Trong thời gian từ
a
t
đến
b
t
thì
A. nhiệt độ của vật rắn giảm. B. vật rắn không nhận nhiệt lượng.
C. vật rắn đang nóng chảy. D. nhiệt độ của vật rắn tăng.
Câu 17. Trong quá trình hóa hơi một lượng chất lỏng ở nhiệt độ sôi thì
A. nhiệt độ của chất lỏng tăng liên tục. B. thể tích khối chất lỏng không thay đổi.
C. nhiệt độ của chất lỏng giảm liên tục. D. nhiệt độ chất lỏng không thay đổi.
Câu 18. Nhiệt lượng mà một vật đồng chất thu vào để tăng nhiệt độ thêm
o
40 C
là
17,6kJ.
Bỏ qua sự trao đổi
nhiệt với môi trường. Biết khối lượng của vật là 500 g, nhiệt dung riêng của chất làm vật là
A.
880J/kg.K.
B.
112,5J/kg.K.
C.
380J/kg.K.
D.
460J/kg.K.
PHẦN II. Thí sinh trả lời từ câu 1 đến câu 4. Trong mỗi ý a), b), c), d) ở mỗi câu, thí sinh chọn đúng hoặc
sai
Câu 1. Khi cung cấp nhiệt lượng 2 J cho khí trong xi lanh đặt nằm ngang, khí nở ra đẩy pit-tông di chuyển đều đi
được 4 cm. Cho lực ma sát giữa pit-tông và xi lanh là
15 N.
Bỏ qua áp suất khí quyển.
a) Độ biến thiên nội năng của khí là 2,6 J.
b) Quá trình trên hệ nhận nhiệt lượng nên Q> 0.
c) Quá trình trên khí thực hiện công nên A <0.
d) Độ lớn của công chất khí thực hiện để pit-tông chuyển động đều là 6 J.
Câu 2. Một em học sinh đã làm thí nghiệm sau: Cho 1 lít nước ở
o
28 C
vào ấm điện rồi bật điện để đun. Hiệu
suất của ấm điện là 90%.
Theo thời gian đun, em học sinh đó ghi chép được các số liệu sau đây:

Trang 3/4 - Mã đề 201
– Để đun nóng 1 lít nước từ
o
28 C
đến
o
100 C
cần 7 phút.
– Để cho 200 g nước trong ấm hóa hơi khi sôi cần 578 giây.
Biết nhiệt dung riêng của nước là
3
4,20.10 J/kg.K.
Khối lượng riêng của nước là
3
1000kg/m .
Bỏ qua sự
hấp thụ nhiệt của vỏ ấm điện.
a) Để nước sôi thi nước phải thu nhiệt lượng.
b) Nhiệt lượng cần thiết để 1 lít nước thu vào để tăng nhiệt độ từ
o
28 C
lên đến
o
100 C
là 302400 J.
c) Nhiệt hóa hơi riêng của nước ở
o
100 C
là
6
2,08.10 J/kg.
d) Công suất điện của ấm điện là
15257
W.
21
Câu 3. Có 1 g khí Helium (coi là khí lí tưởng đơn nguyên tử) thực hiện một quá trình biến đổi trạng thái từ
( )
(
) (
) (
)
1 2;2 3;3 4;4 1→→→→
được biểu diễn trên hệ tọa độ
( )
p-T
như hình vẽ. Cho
5
0
p =10 Pa;
0
T =300K;
khối lượng mol của Helium là
μ = 4g/mol;
R =8,31J/mol.K.
a) Từ hình vẽ ta biết được quá trình biến đổi trạng thái của lượng khí
( )
23→
là quá trình đẳng nhiệt.
b) Quá trình biến đổi trạng thái
( )
34→
là quá trình dãn nở khí đẳng áp.
c) Công mà khí thực hiện khi biến đổi trạng thái từ
( )
12→
là
2
9,36.10 J.
d) Thể tích của lượng khí ở trạng thái 4 là
-3 3
3,12.10 m .
Câu 4. Một quả bóng có dung tích
2,5 lít.
Người ta bơm 45 lần không khí ở áp suất
5
10 Pa
vào bóng. Mỗi lần
bơm được
3
125 cm
không khí. Coi quả bóng trước khi bơm không có không khí và trong khi bơm nhiệt độ của
không khí không thay đổi.
a) Sau mỗi lần bơm, thể tích không khí được đưa vào quả bóng là 0,125 lít.
b) Sau 45 lần bơm, thể tích không khí được đưa vào quả bóng là
3
5265 cm .
c) Định luật Boyle áp dụng được cho quá trình biến đổi trạng thái của lượng khí được bơm vào bóng.
d) Sau 45 lần bơm áp suất cuối cùng của khối khí là
5
2.10 Pa.
PHẦN III. Thí sinh trả lời từ câu 1 đến câu 6.
Câu 1. Một ống nghiệm tiết diện đều có chiều dài 50 cm, một đầu kín, một đầu hở, đặt thẳng đứng, đầu hở ở
trên. Trong ống chứa một khối khí có chiều dài 30 cm, phần còn lại phía trên của ống là một cột thủy ngân.
Nhiệt độ lúc đầu của khối khí là
o
0 C.
Áp suất khí quyển là
0
p = 76cmHg
.
Để một nửa cột thủy ngân trào ra
ngoài thì phải đun nóng khối khí lên đến bao nhiêu
o
C
(làm tròn kết quả đến chữ số hàng phần mười)?
Câu 2. Hai bình có thể tích
3
1
V = 40dm
và
3
2
V =10dm
thông với nhau bằng ống có khóa ban đầu đóng.
Khóa này chỉ mở nếu
5
12
p p 10 pa,≥+
1
p
là áp suất của khí trong bình 1;
2
p
là áp suất của khí trong bình 2.
Đề khảo sát chất lượng Lý 12 năm 2025 lần 1 Sở Vĩnh Phúc
VnDoc.com xin gửi tới bạn đọc bài viết Đề khảo sát Vật lí 12 năm 2025 lần 1 Sở GD&ĐT Vĩnh Phúc có đáp án để bạn đọc cùng tham khảo. Bài viết được tổng hợp gồm có 2 mã đề thi. Đề thi được biên soạn theo cấu trúc đề thi mới. Mỗi đề thi gồm có 18 câu hỏi trắc nghiệm nhiều phương án lựa chọn, 4 câu hỏi trắc nghiệm đúng sai và 6 câu trả lời ngắn. Thí sinh làm bài trong thời gian 50 phút. Đề có đáp án và lời giải chi tiết kèm theo. Mời các bạn cùng theo dõi chi tiết bài viết dưới đây để có thêm tài liệu ôn thi khảo sát chất lượng lớp 12 nhé