Thành phần nguyên tử
Chuyên đề Hóa học lớp 10: Thành phần nguyên tử được VnDoc sưu tầm và giới thiệu tới các bạn học sinh cùng quý thầy cô tham khảo. Nội dung tài liệu sẽ giúp các bạn học sinh học tốt môn Hóa học lớp 10 hiệu quả hơn. Mời các bạn tham khảo.
Lý thuyết: Thành phần nguyên tử
I. Thành phần cấu tạo của nguyên tử
Nguyên tử có cấu tạo gồm:
- Hạt nhân ở giữa nguyên tử, gồm các hạt proton (p) (mang điện tích dương) và các hạt nơtron (n) (không mang điện).
- Vỏ nguyên tử gồm các hạt electron (e) (mang điện tích âm) chuyển động xung quanh hạt nhân.
| Hạt | Khối lượng (m) | Điện tích (q) | ||
| Thật | Tương đối | Thật | Tương đối | |
| Proton | 1,6726.10-27kg | 1u | +1,602.10-19C | 1+ |
| Nơtron | 1,6748.10-27kg | 1u | 0 | 0 |
| Electron | 9,1094.10-31kg | (1/1836)u | -1,602.10-19C | 1- |
* Kết luận:
+ Khối lượng nguyên tử bằng khối lượng hạt nhân nguyên tử đó (vì khối lượng của e rất bé so với khối lượng các hạt nơtron và proton, cụ thể
).
+ Nguyên tử trung hòa về điện, nên số p = số e.
II. Kích thước và khối lượng nguyên tử
a/ Kích thước nguyên tử: rất nhỏ, được tính bằng đơn vị nanomet (nm). 1 nm = 10-9m = 10 Å
| Đường kính | So sánh | |
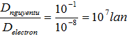
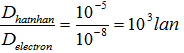
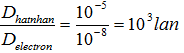
| Nguyên tử | 10-1nm | ![]() |
| Hạt nhân | 10-5nm | ![]() |
| Electron (hay proton) | 10-8nm |
Vì vậy electron chuyển động xung quanh hạt nhân trong không gian rỗng của nguyên tử.
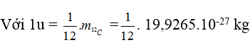
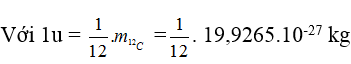
b/ Khối lượng nguyên tử: rất nhỏ, được tính bằng u (hoặc đvC).
![]()
⇒ 1u = 1,6605.10-27kg.
Trong phần chuyên đề trên đây chúng ta có thể hiểu biết thêm về Thành phần nguyên tử gồm các khái niệm, cấu tạo của các thành phần nguyên tử, các công thức tính khối lượng nguyên tử.
Trên đây VnDoc đã giới thiệu tới các bạn lý thuyết Hóa học 10: Thành phần nguyên tử. Để có kết quả cao hơn trong học tập, VnDoc xin giới thiệu tới các bạn học sinh tài liệu Chuyên đề Hóa học 10, Giải bài tập Hóa học lớp 10, Giải bài tập Vật Lí 10, Tài liệu học tập lớp 10 mà VnDoc tổng hợp và đăng tải.

