Xác định thành phần nguyên tử
Chuyên đề Hóa học lớp 10: Xác định thành phần nguyên tử được VnDoc sưu tầm và giới thiệu tới các bạn học sinh cùng quý thầy cô tham khảo. Nội dung tài liệu sẽ giúp các bạn học sinh học tốt môn Hóa học lớp 10 hiệu quả hơn. Mời các bạn tham khảo.
Lý thuyết: Xác định thành phần nguyên tử
A. Phương pháp & ví dụ
1/ Lý thuyết và phương pháp giải
- Dựa vào kí hiệu nguyên tử ra suy ra số hạt mỗi loại trong nguyên tử hoặc dựa vào cấu tạo của nguyên tử, ion tương ứng để lập phương trình, giải phương trình tìm số hạt.
Lưu ý: Kí hiệu nguyên tử: ZAX
Sơ đồ: M → Mn+ + ne (với n là số electron do M nhường)
X + me → Xm- (với m là số electron do X nhận)
2/ Ví dụ minh họa
Ví dụ 1. Nguyên tử Ca có 20 notron, 20 proton. Số hiệu nguyên tử của Ca là:
A. 20 B. 16 C. 31 D. 30
Hướng dẫn:
Số hiệu nguyên tử Z chính là số proton.
Đáp án A
Ví dụ 2. Cho biết nguyên tử của nguyên tố A có tổng số hạt là 58, số khối của nguyên tử nhỏ hơn 40. Hãy xác định số proton, số nơtron, số electron trong nguyên tử.
Hướng dẫn:
Ta có: 2Z + N = 58
Kết hợp: 58/3,222 ≤ Z ≤ 58/3⇒ 18 ≤ Z ≤ 19,3 ⇒ Z = 18; Z = 19
Nếu Z = 18 ⇒ N = 22 ⇒ A = 40 (loại)
Nếu Z = 19 ⇒ N = 20 ⇒ A = 39 (nhận)
⇒ Nguyên tử A có 19p, 19e, 20n.
Ví dụ 3. Hạt nhân của nguyên tử nguyên tố A có 24 hạt, trong đó số hạt không mang điện là 12. Tính số electron trong A.
A. 12 B. 24 C.13 D. 6
Hướng dẫn:
Số khối A = Z + N =24
Biết N = 12 ⇒ E = Z = 24 - 12 = 12
Ví dụ 4. Nguyên tử X có ký hiệu 2964X. Số notron trong X là:
Hướng dẫn:
2964X ⇒ Z = 29, A = 64 nên N = A - Z = 64 - 29 = 35 hạt
B. Bài tập trắc nghiệm
Câu 1. Nguyên tử X có 35 proton, 35 electron, 45 notron. Số khối của nguyên tử X là:
A. 80 B.105 C. 70 D. 35
Đáp án: A
Số khối A = Z + N = 35 + 45 = 80
Câu 2. Xác định số notron trong nguyên tử oxi biết O có 8 proton:
A.8 B. 16 C.6 D.18
Đáp án: A
Số proton: Z = A – N = 16 – 8 = 8
Câu 3. Trong nguyên tử A, số hạt mang điện tích dương là 13, số hạt không mang điện là 14. Số hạt electron trong A là bao nhiêu?
A. 13 B. 15 C. 27 D.14
Đáp án: A
Số e = Số p = 13.
Câu 4. Trong anion X3- tổng số các hạt 111; số electron bằng 48% số khối. Tìm số proton, số electron, nơtron và tìm số khối A của X3-.
Đáp án:
Từ X + 3e → X3-nên tổng số hạt trong X là: 111 – 3 = 108
Ta có 2Z + N = 108 (1)
Mặt khác do số electron bằng 48% số khối nên:
Z + 3 = 48%(Z + N) ⇔ 52Z + 300 = 48N hay 13Z + 75 = 12N (2)
Từ (1) và (2) ⇒ Z = 33; N = 42 ⇒ A = 33 + 42 =75
X + me → Xm- (với m là số electron do X nhận)
Câu 5. Cho biết nguyên tử của nguyên tố A có tổng số hạt là 58, số khối của nguyên tử nhỏ hơn 40. Hãy xác định số proton, số nơtron, số electron trong nguyên tử.
Đáp án:
Ta có: 2Z + N = 58
Kết hợp: 58/3,222 ≤ Z ≤ 58/3⇒ 18 ≤ Z ≤ 19,3 ⇒ Z= 18; Z = 19
Nếu Z = 18 ⇒ N = 22 ⇒ A = 40 (loại)
Nếu Z = 19 ⇒ N = 20 ⇒ A = 39 (nhận)
⇒ Nguyên tử A có 19p, 19e, 20n.
Câu 6. Tổng số hạt mang điện trong hợp chất AB là 40. Số hạt mang điện trong nguyên tử nguyên tử A nhiều hơn số hạt mang điện trong nguyên tử B là 8. Số proton của A và B lần lượt là
A. 22 và 18 B. 12 và 8 C. 20 và 8 D. 12 và 16
Đáp án: B
Tổng số hạt mang điện trong hợp chất AB là 40 → 2pA + 2pB = 40
Số hạt mang điện trong nguyên tử nguyên tử A nhiều hơn số hạt mang điện trong nguyên tử B là 8 → 2pA - 2pB = 8
Giải hệ → pA = 12, pB = 8
Câu 7. Một ion X2+ có tổng số hạt proton, nơtron, electron là 92, trong đó số hạt mang điện nhiều hơn số hạt không mang điện là 20. Số hạt nơtron và electron trong ion X2+ lần lượt là
A. 36 và 27. B. 36 và 29 C. 29 và 36. D. 27 và 36.
Đáp án: A
Giải hệ 
X có 29e thì nhường 2e được X2+ còn 27e , số notron không đổi
Câu 8. Xác định thành phần cấu tạo của các nguyên tử sau:
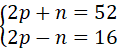
a. Nguyên tử X có tổng số các loại hạt bằng 52, trong đó số hạt mang điện nhiều hơn số hạt không mang điện là 16 hạt.
b. Nguyên tử Y có tổng số các hạt là 36. Số hạt không mang điện thì bằng một nửa hiệu số giữa tổng số hạt với số hạt mang điện tích âm?
Đáp án:
a) Gọi p, n và e lần lượt là số pronton, nơtron, và electron của X.
Theo đề bài, ta có hệ phương trình: 
Giải hệ phương trình ta được: p = 17, n = 18.
Vậy trong X có: 17 electron và 18 nơtron.
b) Gọi p, n và e lần lượt là số pronton, nơtron, và electron của Y.
Theo đề bài, ta có hệ phương trình: 
Giải hệ phương trình ta được: p = 12, n = 12.
Vậy trong X có: 12 proton,12 electron và 12 nơtron
Trên đây VnDoc đã giới thiệu tới các bạn lý thuyết Hóa học 10: Xác định thành phần nguyên tử. Để có kết quả cao hơn trong học tập, VnDoc xin giới thiệu tới các bạn học sinh tài liệu Chuyên đề Hóa học 10, Giải bài tập Hóa học lớp 10, Giải bài tập Vật Lí 10, Tài liệu học tập lớp 10 mà VnDoc tổng hợp và đăng tải.