Trắc nghiệm chương 5: Nhóm Halogen phần 5
Chuyên đề Hóa học lớp 10: Trắc nghiệm chương 5: Nhóm Halogen phần 5 được VnDoc sưu tầm và giới thiệu tới các bạn học sinh cùng quý thầy cô tham khảo. Nội dung tài liệu sẽ giúp các bạn học sinh học tốt môn Hóa học lớp 10 hiệu quả hơn. Mời các bạn tham khảo.
Bài tập trắc nghiệm chương 5
Bài 1: Cho 1,67 gam hỗn hợp gồm hai kim loại ở 2 chu kỳ liên tiếp thuộc nhóm IIA (phân nhóm chính nhóm II) tác dụng hết với dung dịch HCl (dư), thoát ra 0,672 lít khí H2 (ở đktc). Hai kim loại đó là (cho Be = 9, Mg = 24, Ca = 40, Sr = 87, Ba = 137)
A. Ca và Sr. B. Sr và Ba. C. Mg và Ca. D. Be và Mg.
Đáp án A.
Kim loại nhóm IIA, có mức oxi hóa = +2 trong hợp chất.
nH2 = 0,03 mol
Gọi X là kí hiệu chung của 2 kim loại
X + 2HCl → XCl2 + H2
0,03 ← 0,03 (mol)
⇒ M = 55,6
MCa = 40 < 55,67 < MSr = 88
Bài 2: Dung dịch A chứa 11,7g NaCl tác dụng với dung dịch B chứa 51g AgNO3 thu được m gam kết tủa. Giá trị của m:
A. 28,70g B. 43,05g C. 2,87g D. 4,31g
Đáp án A.
AgNO3 + NaCl → AgCl + NaNO3
0,3 0,2 → 0,2 (Mol)
(Do AgNO3 dư, nên tính theo NaCl).
mAgCl = 0,2.(108 + 35,5) = 28,7 (g)
Bài 3: Có các nhận xét sau về clo và hợp chất của clo
1. Nước Gia-ven có khả năng tẩy mầu và sát khuẩn.
2. Cho giấy quì tím vào dung dịch nước clo thì quì tím chuyển mầu hồng sau đó lại mất mầu.
3. Trong phản ứng của HCl với MnO2 thì HCl đóng vai trò là chất bị khử.
4. Trong công nghiệp, Cl2 được điều chế bằng cách điện phân dung dịch NaCl(màng ngăn, điện cực trơ).
Trong các nhận xét trên, số nhận xét đúng là
A. 2. B. 3. C. 4. D. 1
Đáp án B.
Nhận xét đúng là: 1, 2, 4.
Bài 4: Có các hóa chất sau đựng riêng biệt trong các lọ mất nhãn: KCl, MgCl2, FeCl2, FeCl3, AlCl3, NH4Cl, (NH4)2SO4. Thuốc thử có thể dùng để nhận biết các hóa chất trên là
A. NaOH. B. Ba(OH)2. C. Ba(NO3)2. D. AgNO3.
Đáp án B.
| KCl | MgCl2 | FeCl2 | FeCl3 | AlCl3 | NH4Cl | (NH4)2SO4 | |
| Ba(OH)2 | - | ↓ trắng | ↓ trắng | ↓ nâu đỏ | ↓ keo trắng | ↑ mùi khai | ↑ mùi khai + ↓ trắng |
MgCl2 +Ba(OH)2 → Mg(OH)2 + BaCl2
FeCl2 +Ba(OH)2 → Fe(OH)2 + BaCl2
2FeCl3 +3Ba(OH)2 → 2Fe(OH)3 + 3BaCl2
2AlCl3 +3Ba(OH)2 → 2Al(OH)3 + 3BaCl2
2NH4Cl + Ba(OH)2 → 2NH3 + 2H2O + BaCl2
(NH4)2SO4 + Ba(OH)2 → 2NH3 + 2H2O + BaSO4
Bài 5: Cho phản ứng: KMnO4 + HCl (đặc) to→ KCl + MnCl2 + Cl2 + H2O
Hệ số cân bằng phản ứng là các số tối giản. Số phân tử HCl đóng vai trò chất khử là:
A. 16. B. 5. C. 10. D. 8.
Đáp án C
2KMnO4 + 16HCl → 2KCl + 2MnCl2 + 8H2O+ 5Cl2
Bài 6: Cho 1,03 gam muối natri halogen (NaX) tác dụng hết với dung dịch AgNO3 dư thì thu được một kết tủa, kết tủa này sau phản ứng phân hủy hoàn toàn cho 1,08 gam Ag. X là:
A. brom. B. flo. C. clo. D. iot.
Đáp án A
nAg = 0,01 (mol)
NaX + AgNO3 → AgX + NaNO3
0,01 ← 0,01 (mol)
AgX → Ag
0,01 ← 0,01 (mol)
MNaX = 1,03/0,01 = 103 ⇒ MX = 80 (Br)
Bài 7: Cho các phát biểu sau:
(1) Trong các phản ứng hóa học, flo chỉ thể hiện tính oxi hóa.
(2) Axit flohidric là axit yếu.
(3) Dung dịch NaF loãng được dùng làm thuốc chống sâu răng.
(4) Trong các hợp chất, các halogen (F, Cl, Br, I) đều có số oxi hóa; -1 ; +1 ; +3 ; +5 và + 7.
(5) Tính khử của các ion halogen tăng dần theo thứ tự:
(6) Cho dung dịch AgNO3 vào các lọ đựng từng dung dịch loãng: NaF, NaCl, NaBr, NaI đều thấy có kết tủa tách ra.
Trong các phát biểu trên, số phát biểu đúng là
A. 5. B. 6. C. 3. D. 4.
Đáp án D
Khẳng định đúng là 1, 2, 3 5
(4): Flo chỉ có số oxi hóa -1 trong hợp chất.
(6) AgF là dung dịch.
Bài 8: Cho các phản ứng sau:
a. 4HCl + MnO2 to→ MnCl2 + Cl2 + 2H2O
b. 14HCl + K2Cr2O7 to→ 2KCl + 2CrCl3 + 3Cl2 + 7H2O
c. 16HCl + 2KMnO4 to→ 2KCl + 2MnCl2 + 5Cl2 + 8H2O
d. 2HCl + Fe → FeCl2 + H2
e. 6HCl + 2Al → 2AlCl3 + 3H2
Số phản ứng trong đó HCl thể hiện tính khử là
A. 3. B. 4. C. 2. D. 1.
Đáp án A.
Các phản ứng là a, b, c.

Bài 9: Cho hình vẽ mô tả thí nghiệm điều chế Clo từ MnO2 và dung dịch HCl:

Khí Clo sinh ra thường lẫn hơi nước và khí hiđro clorua. Để thu được khí Clo khô thì bình (1) và bình (2) lần lượt đựng
A. Dung dịch H2SO4 đặc và dung dịch NaCl.
B. Dung dịch NaCl và dung dịch H2SO4 đặc.
C. Dung dịch H2SO4 đặc và dung dịch AgNO3.
D. Dung dịch NaOH và dung dịch H2SO4 đặc.
Đáp án B.
Bài 10: Nếu lấy khối lượng KMnO4, MnO2, KClO3 bằng nhau để cho tác dụng với dd HCl đặc, dư thì chất nào cho nhiều Clo hơn?
A. MnO2 B. KClO3 C. KMnO4 D. cả 3 chất như nhau
Đáp án B.
16HCl + 2KMnO4 → 5Cl2+ 2MnCl2+ 2KCl+8H2O
m/15 → m/63,2
6HCl + KClO3 → 3Cl2+ KCl+3H2O
m/122,5 → m/40,8
4HCl + MnO2 → Cl2+ MnCl2+ 2H2O
m/87 → m/87
So sánh thấy nếu lấy cùng 1 lượng các chất phản ứng với HCl thì KClO3 cho nhiều khí Cl2 nhất.
Bài 11: Nguyên tử khối trung bình của clo là 35,5. Clo trong tự nhiên có 2 đồng vị là 35Cl và 37Cl. Phần trăm về khối lượng của 3717Cl chứa trong HClO4 (với hiđro là đồng vị 11H , oxi là đồng vị 168H) là giá trị nào sau đây
A. 9,40%. B. 8,95%. C. 9,67%. D. 9,20%.
Đáp án D.
Phần trăm đồng vị 35Cl = x, thì % đồng vị 37Cl = 100 - x
Ta có vậy x = 75%.
Phần trăm khối lượng của 37Cl trong HClO4 = 
Bài 12: Hoà tan 174 gam hỗn hợp M2CO3 và M2SO3 (M là kim loại kiềm) vào dung dịch HCl dư. Toàn bộ khí CO2và SO2 thoát ra được hấp thụ tối thiểu bởi 500ml dung dịch NaOH 3M. Kim loại M là
A. Li. B. Na. C. K. D. Rb
Đáp án B.
Gọi a, b là số mol M2CO3 và M2SO3
M2CO3 + 2HCl → 2MCl + H2O + CO2
a → a (mol)
M2SO3 + 2HCl → 2MCl + H2O + SO2
b → b (mol)
Toàn bộ khí thoát ra được hấp thụ tối thiểu bởi 500ml dung dịch NaOH 3M :
XO2 + NaOH → NaHXO3
1,5 ← 1,5 (mol)
Mhh = 174/1,5 = 116
⇒ 2M + 60 < 116 < 2M + 80 ⇒ 18 < M < 28 ⇒là Na
Bài 13: Hòa tan hoàn toàn 9,95 gam hỗn hợp X gồm Na, K và Ba vào 100 ml dung dịch HCl 1M thu được dung dịch Y và 2,24 lít khí H2 (đo ở đktc). Cô cạn dung dịch Y thu được m gam chất rắn. Giá trị của m là
A. 15,2. B. 13,5. C. 17,05. D. 11,65.
Đáp án A
nHCl = 0,1 (mol)
Ta có X + 2HCl → dung dịch Y + H2
0,1 0,05 (mol)
→ Kim loại còn phản ứng với nước : nOH- = 2.nH2 = 2.0,05 = 0,1 mol
Dung dịch sau phản ứng : Kim loại, Cl-: 0,1 mol, OH-: 0,1 mol
mdd = mKL + mCl + mOH- = 9,95 + 0,1.35,5 + 0,1.17 = 15,2 (gam)
Bài 14: Cho 12,1g hỗn hợp hai kim loại A, B có hoá trị (II) không đổi tác dụng với dung dịch HCl tạo ra 0,2 mol H2 . Hai kim loại đó là :
A. Ba và Cu B. Mg và Fe C. Mg và Zn D. Fe và Zn
Đáp án C.
Gọi hai kim loại là M−
M− +2HCl → MCl2 + H2
0,2 ← 0,2 (mol)
MA < 60,5 < MB
⇒ A(Mg) và B là Zn
(A,B có hóa trị không đổi nên loại Fe, ý A Cu không phản ứng với HCl).
Bài 15: Cho các mệnh đề sau:
(a) Các halogen đều có số oxi hóa dương trong một số hợp chất.
(b) HI là axit mạnh nhất.
(c) Các halogen đều có tính khử mạnh.
(d) Iot có khả năng thăng hoa.
Số mệnh đề không đúng là
A. 3. B. 2. C. 4. D. 1.
Đáp án B.
a) Flo chỉ có số oxi hóa – 1.
c) Các halogen có tính oxi hóa mạnh.
Bài 16: Cho phản ứng:
NaX(rắn) + H2SO4 (đậm đặc) → NaHSO4 + HX(khí)
Các hiđro halogenua (HX) có thể điều chế theo phản ứng trên là:
A. HCl, HBr và HI C. HBr và HI
B. HF và HCl D. HF, HCl, HBr và HI
Đáp án B.
Bài 17: Cho 31,84 gam hỗn hợp NaX và NaY (X, Y là 2 nguyên tố halogen ở 2 chu kì liên tiếp) vào dung dịch AgNO3 dư thì thu được 57,34g kết tủa.Biết cả NaX và NaY đều tạo kết tủa với AgNO3. Công thức của hai muối là
A. NaBr và NaI. B. NaF và NaCl.
C. NaCl và NaBr. D. NaF, NaBr.
Đáp án A.
Hỗn hợp (NaX, NaY) = NaM.
NaM + AgNO3 → AgM↓+NaNO3
Ta có

⇒ M = 81,6 ⇒ X,Y lần lượt là Br (80) và I (127)
Bài 18: Cho m gam bột sắt vào dung dịch hỗn hợp gồm 0,15 mol CuSO4 và 0,2 mol HCl. Sau khi các phản ứng xảy ra hoàn toàn, thu được 0,725m gam hỗn hợp kim loại. Giá trị của m là
A. 16,0. B. 18,0. C. 16,8. D. 11
Đáp án A.
Fe + 2H+ → Fe2+ + H2
Fe + Cu2+ → Fe2+ + Cu
Bảo toàn khối lượng:
mFe + mCu2+ + mH+ = mhhKL + mH2 + mFe2+
m + 64.0,15 + 0,2 = 0,725m + 2.0,1 + 56.0,25
⇒ m = 16g
Bài 19: Đốt cháy hoàn toàn 5,8 gam hỗn hợp gồm Zn và Mg trong không khí thu được hỗn hợp oxit X. Hòa tan hết X trong dung dịch HCl 1M. Thể tích dung dịch axit hòa tan hết được X là :
A. 250 ml. B. 500 ml. C. 100 ml. D. 150 ml.
Đáp án A.
Giả sử chỉ có Zn ⇒ nZn = 0,09 mol ⇒ nHCl = 0,18 ⇒ V = 180 ml
Nếu chỉ có Mg ⇒ nMg = 0,24 mol ⇒ nHCl = 0,48 ⇒ V = 480 ml
⇒ 180 ml < VHCl < 480 ml
Bài 20: Cho 0,03 mol hỗn hợp NaX và NaY (X, Y là hai halogen thuộc chu kì kế tiếp – đều tạo kết tủa với AgNO3) tác dụng với lượng dư dung dịch AgNO3 thu được 4,75 gam kết tủa. Công thức hai muối trên là:
A. NaBr, NaI. B. NaF, NaCl.
C. NaCl, NaBr. D. NaF, NaCl hoặc NaBr, NaI.
Đáp án C
Gọi công thức chung của NaX và NaY là NaM.
NaM + AgNO3 → AgM↓ + NaNO3
0,03 → 0,03 (mol)
MAgM = 4,75/0,03 = 158,3 ⇒ M = 50,3 ⇒ X,Y lần lượt là Cl và Br.
Bài 21: Hoà tan hoàn toàn 25,12 gam hỗn hợp Mg, Al, Fe trong dung dịch HCl dư thu được 13,44 lít khí H2 (đktc) và m gam muối. Giá trị của m là:
A. 67,72. B. 46,42. C. 68,92 D. 47,02.
Đáp án A.
nH2 = 0,6 mol;
⇒ nHCl = 2nH2 = 1,2 (mol)
mmuối = mKL + mgốc axit = 25,12 + 35,5.1,2 = 67,72 (g)
Bài 22: Mức độ phân cực của liên kết hóa học trong các phân tử được sắp xếp theo thứ tự giảm dần từ trái sang phải là:
A. HI, HCl, HBr. B. HCl, HBr, HI.
C. HBr, HI, HCl. D. HI, HBr, HCl.
Đáp án B.
Độ âm điện giảm dần từ Cl > Br > I, nên độ phân cực giảm dần từ HCl đến HI.
Bài 23: Hãy chỉ ra mệnh đề không chính xác:
A. Tất cả muối AgX (X là halogen) đều không tan trong nước.
B. Tất cả các hiđro halogenua đều tồn tại ở thể khí, ở điều kiện thường.
C. Tất cả các hiđro halogenua khi tan vào nước đều cho dung dịch axit.
D. Các halogen (từ F2 đến I2) tác dụng trực tiếp với hầu hết các kim loại.
Đáp án A.
AgF là muối tan trong nước.
Bài 24: Cho sơ đồ:
Cl2 + KOH → A + B + H2O ;
Cl2 + KOH to→ A + C + H2O
Công thức hoá học của A, B, C, lần lượt là:
A. KCl, KClO, KClO4. B. KClO3, KCl, KClO.
C. KCl, KClO, KClO3. D. KClO3, KClO4, KCl.
Đáp án C.
Cl2 + 2KOH → KCl + KClO + H2O
3Cl2 + 6KOH to→ 5KCl + KClO3 + 3H2O
Bài 25: Dẫn 2 luồng khí clo đi qua 2 dung dịch KOH : Dung dịch thứ nhất loãng và nguội, dung dịch thứ 2 đậm đặc và đun nóng ở 100oC. Nếu lượng muối KCl sinh ra trong 2 dung dịch bằng nhau thì tỉ lệ thể tích khí clo đi qua dung dịch thứ nhất và thứ 2 là:
A. 1 : 3. B. 2 : 4. C. 4 : 4. D. 5 : 3.
Đáp án D.
Lượng muối KCl sinh ra trong hai dung dịch bằng nhau, giả sử là a mol.
Cl2 + 2KOH → KCl + KClO + H2O (1)
a ← a
3Cl2 + 6KOH 5KCl + KClO3 + 3H2O (2)
3a/5 ← a
Tỉ lệ thể tích khí clo đi qua dung dịch thứ nhất và thứ 2 là = 
Bài 26: Cho các chất sau: KOH (1), Zn (2), Ag (3), Al(OH)3 (4), KMnO4 (5), K2SO4 (6). Axit HCl tác dụng được với các chất:
A. (1), (2), (4), (5). B. (3), (4), (5), (6).
C. (1), (2), (3), (4). D. (1), (2), (3), (5).
Đáp án A.
HCl không phản ứng được với Ag, loại (3)
Bài 27: Cho các chất sau: CuO (1), Zn (2), Ag (3), Al(OH)3 (4), KMnO4 (5), PbS (6), MgCO3 (7), AgNO3 (8), MnO2 (9), FeS (10). Axit HCl không tác dụng được với các chất
A. (1), (2). B. (3), (4). C. (5), (6). D. (3), (6).
Đáp án D.
Ag đứng sau (H) trong dãy hoạt động hóa học nên không phản ứng với HCl.
PbS là kết tủa không tan trong axit.
Bài 28: Cho các phản ứng:
(1) O3 + dung dịch KI → (2) F2 + H2O to →
(3) MnO2 + HCl đặc to → (4) Cl2 + dung dịch H2S →
Các phản ứng tạo ra đơn chất là:
A. (1), (2), (3). B. (1), (3), (4). C. (2), (3), (4). D. (1), (2), (4).
Đáp án A.
O3 + 2KI +H2O → O2 + 2KOH + I2.
2F2 + 2H2O → O2 +4 HF
MnO2 + 4HCl → MnCl2 + Cl2 + 2H2O
4Cl2 + H2S + 4H2O → H2SO4 + 8HCl.
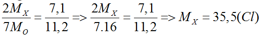
Bài 29: Biết oxit cao nhất của nguyên tố X thuộc nhóm VIIA, có tỉ lệ khối lượng giữa các nguyên tố là mX : mO = 7,1 : 11,2. X là nguyên tố nào sau đây?
A. Clo. B. Iot. C. Flo. D. Brom.
Đáp án A.
Oxit cao nhất của X có dạng: X2O7
mX : mO = 7,1 : 11,2

Bài 30: Hai miếng sắt có khối lượng bằng nhau và bằng 2,8 gam. Một miếng cho tác dụng với Cl2, một miếng cho tác dụng với dung dịch HCl. Tổng khối lượng muối clorua thu được là:
A. 14,475 gam. B. 16,475 gam. C. 12,475 gam. D. Tất cả đều sai.
Đáp án A
nFe = 0,05 (mol)
Fe + 2HCl → FeCl2 + H2
0,05 → 0,05
⇒ mFeCl2 = 0,05.(56 + 35,5.2) = 6,35g
2Fe +3Cl2 → 2FeCl3
0,05 0,05
⇒ mFeCl2 = 0,05.(56 + 35,5.3) = 8,125g
mMuối = 6,35 + 8,125 = 14,475 (g)
Cho 69,6 gam MnO2 tác dụng với HCl đặc, dư.(H%=90%). Dẫn toàn bộ lượng khí sinh ra vào 500 ml dung dịch NaOH 4M thu được dung dịch A
Bài 31: Thể tích khí Cl2 thu được ở đktc sau phản ứng là:
A. 17,92 B.16,12 8 C.19,9 D.13,44
Đáp án B.
Bài 32: Coi thể tích dung dịch thay đổi không đáng kể, nồng độ mol các chất trong dung dịch A sau phản ứng là bao nhiêu?
A. 1,6M; 1,6M và 0,8M. B. 1,7M; 1,7M và 0,8 M.
C. 1,44M; 1,44M và 1,12 M. D. 1,44M ; 1,44M và 0,56M.
Đáp án C
MnO2 + 4HCl → MnCl2 + Cl2 + 2H2O
0,8 → 0,8. 90/100 = 0,72
(mol)Vkhí = 0,72.22,4 = 16,128 (lit)
nNaOH = 2 (mol)
Cl2 + 2NaOH → NaCl + NaClO + H2O
0,72 2 → 0,72 0,72 (mol) do NaOH dư, tính theo Cl2
Dung dịch sau phản ứng: nNaCl = nNaClO = 0,72 (mol), nNaOH dư = 0,56 (mol)
CNaCl = CNaClO = 1,44M, CNaOH = 1,12M.
Bài 33: Sục khí clo vào dung dịch chứa NaBr và NaI đến phản ứng hoàn toàn thì thu được 1,17 gam NaCl. Số mol hỗn hợp NaBr và NaI có trong dung dịch đầu là:
A. 0,02 mol. B. 0,01 mol. C. 0,03 mol. D. Tất cả đều sai.
Đáp án A.
Đặt: nNaBr = a(mol), nNaI = b(mol)
Ta có các phản ứng:
2NaBr + Cl2 → 2NaCl + Br2(1)
a → a
2NaI + Cl2 → 2NaCl + I2(2)
b → b
Từ (1) và (2)⇒ nNaCl = a+b = 1,17 / 58,5 = 0,02 (mol)
→ nNaBr + nNaI = a+b = 0,02 (mol)
Bài 34: Hoà tan hoàn toàn 104,25 gam hỗn hợp X gồm NaCl và NaI vào nước được dung dịch A. Sục khí clo dư vào dung dịch A. Kết thúc thí nghiệm, cô cạn dung dịch, thu được 58,5 gam muối khan. Khối lượng NaCl có trong hỗn hợp X là:
A. 17,55 gam. B. 29,25 gam. C. 58,5 gam. D. Cả A, B, C đều sai.
Đáp án B.
Gọi x, y là số mol NaCl và NaI trong hh X.
m(X) = m(NaCl) + m(NaI) = 58,5x + 150y = 104,25g (1)
Sục khí Cl2 dư vào dd A:
NaI + 1/2Cl2 → 1/2I2 + NaCl
y → y
mmuối= m(NaCl) = 58,5.(x+y) = 58,5g
→ x + y = 1mol (2)
Giải hệ PT (1), (2) ta được: x = 0,5mol và y = 0,5 mol
mNaCl = 0.5.58,5 = 29,25 (g)
Bài 35: Hoà tan 11,2 lít khí HCl (đktc) vào m gam dung dịch HCl 16%, thu được dung dịch HCl 20%. Giá trị của m là:
A. 36,5. B. 182,5. C. 365,0. D. 224,0.
Đáp án C.
nHCl = 0,5 (mol), mHCl thêm vào = 0,5.36,5 = 18,25 (g)

→ mHCl (trong dung dịch 16%) = 0,16mdd
Sau khi thêm 11,2 lít khí Cl2.

→ mdd = 365 (g)
Bài 36: Hoà tan V lít khí HCl (đktc) vào 185,4 gam dung dịch HCl 10% thu được dung dịch HCl 16,57%. Giá trị của V là
A. 4,48. B. 8,96. C. 2,24. D. 6,72.
Đáp án B.

→ mHCl = 18,54 (g)
Gọi số mol HCl thêm vào = x (mol)

→ x= 0,4 (mol), VHCl = 0,4.22,4 = 8,96 (l)
Bài 37: Nồng mol/lít của dung dịch HBr 16,2% (d = 1,02 g/ml) là:
A. 2,04. B. 4,53. C. 0,204. D. 1,65.
Đáp án A

Bài 38: Hàng năm thế giới cần tiêu thụ khoảng 45 triệu tấn clo. Nếu dùng muối ăn để điều chế clo thì cần bao nhiêu tấn muối (Giả thiết hiệu suất phản ứng đạt 100%)?
A. 74 triệu tấn. B. 74,15 triệu tấn.
C. 74,51 triệu tấn. D. 74,14 triệu tấn.
Đáp án A.
2NaCl + 2H2O → Cl2 + H2 +2NaOH
90/71 ← 45/71 (mol)
mNaCl = 90/71.(23 + 35,5) = 74,15 (tấn)
Bài 39: Cho các phản ứng sau:
(1). Cl2 + 2NaBr → 2NaCl + Br2 (2). Br2 + 2NaI → 2NaBr + I2
(3). Cl2 + 2NaF → 2NaCl + F2 (4). Br2 + 5Cl2 + 6H2O → 2HBrO3 + 10HCl
(5). F2 + 2NaCl → 2NaF + Cl2 (6). HF + AgNO3 → AgF + HNO3
(7). HCl + AgNO3 → AgCl + HNO3 (8). PBr3 + 3H2O → H3PO3 + 3HBr
Số phương trình hóa học viết đúng là:
A. 6. B. 7. C. 5. D. 8.
Đáp án C
Các phương trình viết đúng là:
(1). Cl2 + 2NaBr → 2NaCl + Br2
(2). Br2 + 2NaI → 2NaBr + I2
(7). HCl + AgNO3 → AgCl + HNO3
(4). Br2 + 5Cl2 + 6H2O → 2HBrO3 + 10HCl
(8). PBr3 + 3H2O → H3PO3 + 3HBr
Các phản ứng viết sai là:
(3). Cl2 + 2NaF → 2NaCl + F2 vì tính oxi hóa của Cl2 yếu hơn Flo.
(5). F2 + 2NaCl → 2NaF + Cl2 vì Flo có tính oxi hóa rất mạnh nó oxi hóa được H2O.
(6). HF + AgNO3 → AgF + HNO3 vì AgF là chất tan.
Bài 40: Cho 7,8 gam hỗn hợp X gồm Mg và Al tác dụng vừa đủ với 5,6 lít hỗn hợp khí Y (đktc) gồm Cl2 và O2 thu được 19,7 gam hỗn hợp Z gồm 4 chất. Phần trăm thể tích của clo trong Y là
A. 40% B. 50% C. 60% D. 70%
Đáp án A
Ta có mX + mY = mZ ⇒ 7,8 + mY = 19,7
mY = 11,9 (g)
Gọi nCl2 = x mol; nO2 = y mol
Ta có x + y = 5,6/22,4 = 0,25 mol (1)
mCl2 + mO2 = 71x + 32y = 11,9 (2)
Giải (1) và (2) ta có x = 0,1 (mol); y = 0,15(mol)
%VO2 = 0,1/0,25 . 100% = 40%
Trên đây VnDoc đã giới thiệu tới các bạn lý thuyết Hóa học 10: Trắc nghiệm chương 5: Nhóm Halogen phần 5. Để có kết quả cao hơn trong học tập, VnDoc xin giới thiệu tới các bạn học sinh tài liệu Chuyên đề Hóa học 10, Giải bài tập Hóa học lớp 10, Giải bài tập Vật Lí 10, Tài liệu học tập lớp 10 mà VnDoc tổng hợp và giới thiệu tới các bạn đọc.