Trắc nghiệm chương 5: Nhóm Halogen phần 6
Chuyên đề Hóa học lớp 10: Trắc nghiệm chương 5: Nhóm Halogen phần 6 được VnDoc sưu tầm và giới thiệu tới các bạn học sinh cùng quý thầy cô tham khảo. Nội dung tài liệu sẽ giúp các bạn học sinh học tốt môn Hóa học lớp 10 hiệu quả hơn. Mời các bạn tham khảo.
Bài tập trắc nghiệm chương 5
Bài 1: Cho 12,1 g hỗn hợp Zn, Fe tác dụng với vừa đủ với m g dd HCl 10%. Cô cạn dd thu được 19,2 g muối. Giá trị m là:
A. 73 g B. 53 g C. 43 g D. 63 g
Đáp án A.
mmuối = mKL + mgốc axit
⇒ 19,2 = 12,1 + mCl-
mCl- = 7,1
⇒nCl- = 0,2 mol = nHCl
⇒ m = 73 g
Bài 2: Có 5 gói bột tương tự nhau là CuO, FeO, MnO2, Ag2O, (Fe + FeO). Có thể dùng dung dịch nào trong các dung dịch nào dưới đây để phân biệt 5 chất trên?
A. HNO3. B. AgNO3. C. HCl. D. Ba(OH)2.
Đáp án C.
| CuO | FeO | MnO2 | Ag2O | Fe+FeO | |
| Dung dịch HCl | Dd xanh lam | Dd không màu | Khí màu vàng nhạt | Kết tủa trắng | Khí không màu |
CuO + 2HCl → CuCl2 + H2O
FeO + 2HCl → FeCl2 + H2O
MnO2 + 4HCl → MnCl2 + Cl2 + 2H2O
Ag2O + 2HCl → 2AgCl + H2O
Fe + 2HCl → FeCl2 + H2
Bài 3: Hoà tan 9,14 g hỗn hợp Cu, Mg, Al bằng một lượng vừa đủ dd HCl được 7,84 lít khí H2¬ (đktc) và 2,54 g rắn Y và dd Z. Cô cạn dd Z thu được khối lượng muối khan là:
A. 31,45 g B. 33,25 g C. 39,9 g D. 35,58 g
Đáp án A
Chất rắn Y là Cu không phản ứng.
nHCl = 2nH2 = 2. 7,84/22,4 = 2. 0,35 = 0,7 mol
mmuối = mKL + mgốc axit = (9,14 – 2,54) + 0,7.35,5 = 31,45(g)
Bài 4: Cho 5,85 gam muối NaX tác dụng với dd AgNO3 dư ta thu được 14,35 gam kết tủa trắng. Nguyên tố X có hai đồng vị 35X(x1%) và 37X(x2%). Vậy giá trị của x1% và x2% lần lượt là:
A. 25% & 75% B. 75% & 25% C. 65% & 35% D. 35% & 65%
Đáp án B
Ta có NaX + AgNO3 → NaNO3 + AgX
M tăng = 108-23 = 85, m tăng = 8,5
nAgX = 0,1, MAgX = 143,5 ⇒ X :35,5(Cl)

Bài 5: Cho 3 lít Cl2 phản ứng với 2 lít H2; hiệu suất phản ứng đạt 80%. Phần trăm thể tích Cl2 trong hỗn hợp khí sau phản ứng là (các thể tích khí được đo ở cùng điều kiện to, p)
A. 28%. B. 64%. C. 60%. D. 8%.
Đáp án A.
Các thể tích đo trong cùng điều kiện nhiệt độ và áp suất, nên thể tích cũng là số mol.
H2 + Cl2 → 2HCl
Ban đầu 2 3
Phản ứng 2.0,8 1,6 3,2
Sau phản ứng 0,4 1,4 3,2
=&gct; nsau phản ứng = 0,4 + 1,4 + 3,2 = 5.
%VCl2 = 1,4/5 .100% = 28%
Bài 6: Hỗn hợp X gồm Zn , Mg và Fe. Hòa tan hết 23,40 gam hỗn hợp X vào dung dịch HCl thu được 11,20 lít khí (đktc). Để tác dụng với vừa hết 23,40 gam hỗn hợp X cần 12,32 lít khí Clo (đktc). Khối lượng của Fe trong hỗn hợp là
A. 8,4 g. B. 11,2 g. C. 2,8 g. D. 5,6 g.
Đáp án D.
Bảo toàn e:
+) X + HCl: 2nZn + 2nMg + 2nFe = 2nH2 = 1,0 mol
+) X + Cl2: 2nZn + 2nMg + 3nFe = 2nCl2 = 1,1 mol( khi phản ứng với Cl2, Fe thể hiện hóa trị 3).
⇒ nFe = 1,1 - 1,0 = 0,1 mol ⇒ mFe = 5,6 g
Bài 7: Hòa tan hoàn toàn 2,45g hỗn hợp X gồm hai kim loại kiềm thổ vào 200 ml dung dịch HCl 1,25M thu được dung dịch Y chứa các chất tan có nồng độ mol bằng nhau. Hai kim loại kiềm thổ đó là
A. Be và Ca. B. Mg và Ca. C. Be và Mg. D. Mg và Sr.
Đáp án A.
Gọi A, B là kí hiệu của 2 kim loại.
X là kí hiệu chung của 2 kim loại.
Do dung dịch sau phản ứng có nồng độ mol bằng nhau nên nACl2 = nBCl2 = a
TH1: Nếu dung dịch chỉ chứa 2 muối
A + 2HCl → ACl2 + H2
a 2a a a
B+ 2HCl → BCl2 + H2
a 2a a a
nHCl = 0,2 × 1,25 = 0,25
⇒ 4a = 0,25 ⇒ a = 0,0625 mol
MA,B = 2,45/2a = 19,6
M(Be) = 9 < 19,6 < MB

TH2: Vậy dung dịch sau phản ứng có HCl dư
nACl2 = nBCl2 = nHCl = a
⇒ nHCl(bđ) = 0,25 = 4a + a = 5a
⇒ a = 0,05
MA,B = 2,45/2a = 24,5
Nếu A là Be ⇒ MA = 9

Vậy 2 kim loại là Be và Ca
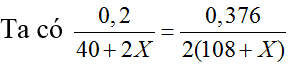
Bài 8: Chất A là muối Canxi halogenua. Dung dịch chứa 0,200 gam A tác dụng với lượng dư dung dịch bạc nitrat thì thu được 0,376 gam kết tủa bạc halogenua. Công thức phân tử của chất A là
A. CaF2. B. CaCl2. C. CaBr2. D. CaI2.
Đáp án C.
Gọi công thức muối là CaX2
CaX2 + 2AgNO3 → Ca(NO3)2 +2AgX
40+2X 2.(108+X)
0,2 0,376

→ X=80 (Br)
Công thức. CaBr2
Bài 9: Cho các sơ đồ phản ứng:
Zn + HCl → Khí A + ... KMnO4 + HCl → Khí B + ...
KMnO4 to→ Khí C + ...
Các khí sinh ra (A, B, C) có khả năng phản ứng với nhau là:
A. A và B, B và C. B. A và B, A và C.
C. A và C, B và C. D. A và B, B và C, A và C.
Đáp án B.
Zn + 2HCl → ZnCl2 + H2 (A)
KMnO4 + HCl → KCl + MnCl2 + H2O + Cl2 (B)
2KMnO4 to→ K2MnO4 + MnO2 + O2(C)
Bài 10: Nguyên tử nguyên tố X tạo ion X-. Tổng số hạt (p, n, e) trong X- bằng 116. X là nguyên tử nguyên tố nào dưới đây?
A. 34Se B. 32Ge C. 33As D. 35Br
Đáp án D.
X- có tổng số hạt bằng = 116, vậy X có tổng số hạt = 115.
Ta có
2p + n = 115 ⇒ n = 115 – 2p, thay vào (1) ta có

↔ P ≤ 115 – 2P ≤ 1,52P
Giải ra ta có p = n =35 (Br)
Bài 11: Khi clo tác dụng với kiềm đặc nóng, tạo muối clorat thì có một phần clo bị khử, đồng thời một phần clo bị oxi hóa. Tỉ lệ số nguyên tử clo bị khử và số nguyên tử clo bị oxi hóa là:
A. 1 : 1 B. 3 : 1 C. 1 : 5 D. 5 : 1
Đáp án D.
Bài 12: Khối lượng HCl bị oxi hóa bởi MnO2 là bao nhiêu, biết rằng khí Cl2 sinh ra trong phản ứng đó có thể đẩy được 12,7g I2 từ dung dịch NaI.
A. 3,65 B. 7,3 C. 14,6 D. 36,5
Đáp án B.
Phương trình hóa học của phản ứng;
Cl2 + 2NaI → 2NaCl + I2
0,05 ← 0,05 (mol)
nIot = 0,05 mol.
4HCl + MnO2 → MnCl2 + Cl2 + 2H2O
0,2 ← 0,05 (mol)
Khối lượng HCl cần dùng là: mHCl = 0,2 x 36,5 = 7,3g.
Bài 13: Phát biểu nào không đúng?
A. Tính oxi hoá giảm dần: Flo > Clo > Brom > Iot
B. Tính axit giảm dần: HF > HCl > HBr > HI
C. Tính axit giảm dần: HClO4 > HBrO4 > HIO4
D. HClO4 là axit mạnh.
Đáp án B.
Tính axit tăng dần: HF < HCl < HBr < HI
Bài 14: Chọn câu đúng khi nói về flo, clo, brom, iot:
A. Flo có tính oxi hóa rất mạnh, oxi hóa mãnh liệt nước.
B. Clo có tính oxi hóa mạnh, oxi hóa được nước.
C. Brom có tính oxi hóa mạnh, nhưng yếu hơn flo và clo, nó cũng oxi hóa được nước.
D. Iot có tính oxi hóa yếu hơn flo, clo, brom nhưng cũng oxi hóa được nước.
Đáp án A.
Bài 15: Để hoà tan hết hỗn hợp Zn và ZnO phải dùng 100,8 ml dung dịch HCl 36,5% (D = 1,19 g/ml) thu được 0,4 mol khí. Thành phần % về khối lượng hỗn hợp Zn và ZnO ban đầu lần lượt là:
A. 61,6% và 38,4% B. 50,0% và 50,0%
C. 45,0% và 55,0% D. 40,0% và 60,0% .
Đáp án A.

⇒ mHCl = 43,78 (g)
nHCl = 1,2 (mol)
Gọi nZn = a, nZnO = b.
Zn + 2HCl → ZnCl2 + H2
0,4 0,8 ← 0,4 (mol)
ZnO + 2HCl → ZnCl2 + H2O
0,2 ← 0,4 (mol)

%mZnO = 100% -61,6% = 38,4%
Bài 16: Hoà tan hoàn toàn hỗn hợp X gồm Fe và Mg bằng một lượng vừa đủ dung dịch HCl 20%, thu được dung dịch Y. Nồng độ của FeCl2 trong dung dịch Y là 15,76%. Nồng độ phần trăm của MgCl2 trong dung dịch Y là
A. 24,24%. B. 11,79%. C. 28,21%. D. 15,76%.
Đáp án B.
Fe+ 2HCl → FeCl2 + H2
a 2a a a
Mg + 2HCl → MgCl2+H2
b 2b b b
mchất rắn X = 56a + 24b ; mddHCl = 36,5/20% .2.(a + b) = 365(a + b)
mFeCl2 = 127a, mMgCl2 = 95b, mH2 = 2(a + b)
⇒ mddsau pư = 56a + 24b + 365(a + b) – 2(a + b) = 419a + 387b

Giải PT ⇒ a = b 
Bài 17: Khi cho 100ml dung dịch KOH 1M vào 100ml dung dịch HCl thu được dung dịch có chứa 6,525 gam chất tan. Nồng độ mol của HCl trong dung dịch đã dùng là
A. 0,75M. B. 1M. C. 0,25M. D. 0,5M.
Đáp án D.
Gọi số mol HCl là x mol
HCl + KOH → KCl + H2O
x x (mol)
Giả sử KOH hết ⇒ mKCl = 74,5 . 0,1 = 7.45(g) > 6,525
⇒ KOH dư ,HCl hết.
(0,1 - x).56 + x.(39 + 35,5) = 6,525
⇒ x = 0,05 mol ⇒ CM = 0,5M
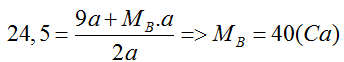
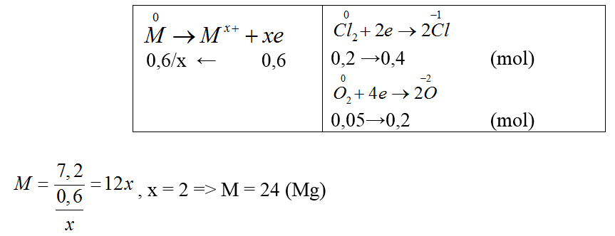
Bài 18: Đốt cháy hoàn toàn 7,2 gam kim loại M (có hoá trị hai không đổi trong hợp chất) trong hỗn hợp khí X gồm Cl2 và O2. Sau phản ứng thu được 23,0 gam chất rắn và thể tích hỗn hợp khí đã phản ứng là 5,6 lít (đktc). Kim loại M
A. Mg. B. Ca. C. Be. D. Cu.
Đáp án A.
mrắn sau − mM = mX ⇒ 71nCl2 + 32nO2 = 23 − 7,2 = 15,8 g (1)
⇒nkhí = nCl2 +nO2 = 0,25 mol (2)
Giải hệ (1) và (2) ⇒nCl2 = 0,2; nO2 = 0,05 mol
Gọi hóa trị của M là x
Bảo toàn e

Bài 19: Cho các phản ứng sau
1. 4HCl + MnO2 → MnCl2 + Cl2 + 2H2O.
2. 6HCl + 2Al → 2AlCl3 + 3H2.
3. 2HCl + Fe → FeCl2 + H2.
4. 14HCl + K2Cr2O7 → 2KCl + 2CrCl3 + 3Cl2 + 7H2O.
5. 16HCl + 2KMnO4 → 2KCl + 2MnCl2 + 5Cl2 + 8H2O.
Số phản ứng trong đó HCl thể hiện tính oxi hóa là
A. 4. B. 2. C. 3. D. 1.
Đáp án B.
Phương trình 2, 3

Bài 20: Cho dung dịch chứa 6,03 gam hỗn hợp gồm hai muối NaX và NaY (X, Y là hai nguyên tố có trong tự nhiên, ở hai chu kì liên tiếp thuộc nhóm VIIA, số hiệu nguyên tử ZX < ZY) vào dung dịch AgNO3 (dư), thu được 8,61 gam kết tủa. Phần trăm khối lượng của NaX trong hỗn hợp ban đầu là
A. 52,8%. B. 58,2%. C. 47,2%. D. 41,8%.
Đáp án D.
TH 1: Cả hai muối NaX và NaY đều cho kết tủa khi pư với AgNO3
NaZ + AgNO3 → NaNO3 + AgZ↓
a a
Áp dụng pp tăng giảm khối lượng 
→ a = 0,03 (mol) → MNaZ= 201 → Z = 178
X và Y là I (127) và At (210), nhưng At không có tự nhiên nên TH này loại
TH 2: Chỉ có 1 muối tạo kết tủa nghĩa là hai muối này là NaF và NaCl
nAgCl = 8,61/143,5 = 0,06 mol
NaCl + AgNO3 → NaNO3 + AgCl↓
0,06 0,06
mY = mNaCl = 0,06.58,5 = 3,51g
mX = mNaF = 6,03 - 3,51 = 2,52g
Bài 21: Cho 13,44 lít khí clo (ở đktc) đi qua 2,5 lít dung dịch KOH ở 100oC. Sau khi phản ứng xảy ra hoàn toàn, thu được 37,25 gam KCl. Dung dịch KOH trên có nồng độ là
A. 0,48M. B. 0,24M. C. 0,4M. D. 0,2M.
Đáp án B.
nCl2 = 0,6 mol, nKCl = 0,5 mol.
Phản ứng với KOH ở 100 độ C:
3Cl2 + 6KOH → 5KCl + KClO3 + 3H2O.
0,6 mol 0,5 mol
Từ PT ⇒ Cl2 dư nên số mol KOH tính theo số mol KCl
⇒ nKOH = 0,6 mol ⇒ CM(KOH)= 0,24 M
Bài 22: Hoà tan hoàn toàn 10,05 gam hỗn hợp 2 muối cacbonat kim loại hoá trị II vào dung dịch HCl thu được dung dịch A và 0,672 lít khí (đktc). Khối lượng muối trong A là
A. 10,38gam. B. 20,66gam. C. 30,99gam. D. 9,32gam.
Đáp án A.
nCO2 = 0,03 mol
MCO3 + 2HCl → MCl2 + H2O + CO2
0,06 ← 0,03 0,03
Bảo toàn khối lượng
mmuối + mHCl = mmuối (A) + mCO2 + mH2O.
10,05 + 0,06.36,5 = mmuối (A) + 0,03.44 + 0,03.18 ⇒ m = 10,38 (g).
Bài 23: Cho 23,7 gam KMnO4 phản ứng hết với dung dịch HCl đặc (dư), thu được V lít khí Cl2 (đktc). Giá trị của V là
A. 6,72. B. 8,40. C. 3,36. D. 5,60.
Đáp án B

2KMnO4 + 16HCl → 5Cl2 + 8H2O + 2KCl + 2MnCl2
0,15 → 0,375
(mol)VCl2 = 0,375. 22,4 = 8,4l
Bài 24: Đốt 12,8 g Cu trong bình đựng khí clo. Thể tích khí clo (đktc) tham gia phản ứng là:
A. 4,48 B. 6,72 C. 2,24 D. 8,96
Đáp án A.
nCu = 0,2 (mol)
Cu + Cl2 → CuCl2
0,2 → 0,2 (mol)
⇒ V = 0,2.22,4 = 4,48 (l)
Bài 25: Cho 11,3 gam hỗn hợp gồm Mg và Cu tác dụng hết với dung dịch HCl, thấy thoát ra 2,24 lít khí H2 (đktc) và m gam chất rắn không tan. Giá trị của m là:
A. 11,3 gam. B. 2,4 gam. C. 6,4 gam. D. 8,9 gam.
Đáp án D
Chất rắn không tan là Cu.
nH2 = 0,1 (mol)
Mg + 2HCl → MgCl2 + H2
0,1 ← 0,1 (mol)
mMg = 0,1.24 = 2,4 (g)
⇒ mCu = 11,3 – 2,4 = 8,9 (g)
Bài 26: Cho 4,8 gam một kim loại hóa trị II phản ứng hết với dung dịch HCl dư, thu được 4,48 lít H2 (đktc). Kim loại đó là?
A. Ba. B. Ca. C. Mg. D. Sr.
Đáp án C
Gọi kim loại là R. nH2 = 0,2 (mol)
R + 2HCl → RCl2 + H2
0,2 ← 0,2 (mol)
MR = 4,8/0,2 = 24 (Mg)
Bài 27: Cho 10,8 gam kim loại M tác dụng hoàn toàn với khí Cl2 dư thu được 53,4 gam muối clorua. Kim loại M là
A. Mg. B. Al. C. Fe. D. Zn.
Đáp án B
Gọi n là hóa trị của M.
2M + nCl2 → 2MCln
Theo pt, nM = nmuối

n = 1 ⇒ M = 9 (loại)
n = 2 ⇒ M = 18 (loại)
n = 3 ⇒ M = 27 (Al)
Bài 28: Hoà tan hoàn toàn 3,80 gam hỗn hợp hai kim loại kiềm thuộc hai chu kì liên tiếp trong dung dịch HCl dư, thu được 2,24 lít khí H2 (đktc). Hai kim loại kiềm đó là
A. Li và Na. B. Na và K. C. Rb và Cs. D. K và Rb
Đáp án A.
Gọi hai kim loại kiềm là M−
2M− + 2HCl → 2MCl + H2
0,2 ← 0,1 (mol)
M− = 3,8/0,2 = 19 ⇒ 2 kim loại là Li(7) và Na (23).
Bài 29: Để tinh chế brom bị lẫn tạp chất clo, người ta dẫn hỗn hợp qua
A. Dung dịch NaBr. B. Dung dịch NaI.
C. Dung dịch NaCl. D. Dung dịch H2SO4.
Đáp án A.
Cl2 + 2NaBr → 2NaCl + Br2
Bài 30: Cho 300ml một dung dịch có hòa tan 5,85g NaCl tác dụng với 200ml dung dịch có hòa tan 34g AgNO3, người ta thu được một kết tủa và nước lọc. Nồng độ mol chất còn lại trong nước lọc là?. (Cho rằng thể tích nước lọc thu được không thay đổi đáng kể).
A. NaNO3 = 0,5M, AgNO3 = 0,3M
B. NaNO3 = 0,3M, AgNO3 = 0,3M
C. NaNO3 = 0,5M, AgNO3 = 0,5M
D. NaNO3 = 0,2M, AgNO3 = 0,2M
Đáp án D.
nNaCl = 0,1 mol, nAgNO3 = 0,2 mol.
NaCl + AgNO3 → AgCl + NaNO3
0,1 → 0,1 0,1 (mol)
Vdd = 300 + 200 = 500 ml
nAgNO3 (dư) = 0,2-0,1 = 0,1 (mol)
nNaNO3 = 0,1 mol
CAgNO3 = CNaNO3 = 0,1/0,5 = 0,2 mol
Trên đây VnDoc đã giới thiệu tới các bạn lý thuyết Hóa học 10: Trắc nghiệm chương 5: Nhóm Halogen phần 6. Để có kết quả cao hơn trong học tập, VnDoc xin giới thiệu tới các bạn học sinh tài liệu Chuyên đề Hóa học 10, Giải bài tập Hóa học lớp 10, Giải bài tập Vật Lí 10, Tài liệu học tập lớp 10 mà VnDoc tổng hợp và giới thiệu tới các bạn đọc.