Giao diện mới của VnDoc Pro: Dễ sử dụng hơn - chỉ tập trung vào lớp bạn quan tâm. Vui lòng chọn lớp mà bạn quan tâm: Lưu và trải nghiệm
Đóng
Điểm danh hàng ngày
  • Hôm nay +3
  • Ngày 2 +3
  • Ngày 3 +3
  • Ngày 4 +3
  • Ngày 5 +3
  • Ngày 6 +3
  • Ngày 7 +5
Bạn đã điểm danh Hôm nay và nhận 3 điểm!
Nhắn tin Zalo VNDOC để nhận tư vấn mua gói Thành viên hoặc tải tài liệu Hotline hỗ trợ: 0936 120 169

Định nghĩa và tính chất của nguyên hàm

Lớp: Lớp 12
Phân loại: Tài liệu Tính phí

Bộ tài liệu Lí thuyết toán 12: Nguyên hàm bao gồm định nghĩa, tính chất nguyên hàm và các bài tập ứng dụng có hướng dẫn chi tiết, được xây dựng dựa trên kiến thức trọng tâm chương trình Toán 12 và các câu hỏi trong đề thi THPT Quốc gia.

A. Nguyên hàm là gì?

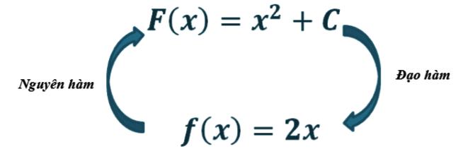
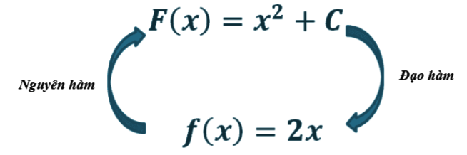
Cho hàm số f(x)\(f(x)\) xác định trên K (K là khoảng, đoạn hay nửa khoảng). Hàm số F(x)\(F(x)\) được gọi là nguyên hàm của hàm số f(x)\(f(x)\) trên K nếu F’(x) = f(x)\(F’(x) = f(x)\) với mọi x thuộc K.

Minh họa trực quan:

Lí thuyết tổng quan về Nguyên hàmVí dụ: F(x)=x^4\(F(x)=x^4\) là một nguyên hàm của hàm số d(x)=4x^3\(d(x)=4x^3\)F’(x)=(x^4)’=4x^3=f(x)\(F’(x)=(x^4)’=4x^3=f(x)\)

Định lí 1: Nếu F(x) là một nguyên hàm của hàm số f(x)\(f(x)\) trên K thì với mỗi hằng số C thì hàm số F\left( x \right) + C\(F\left( x \right) + C\) cũng là một nguyên hàm của f(x)\(f(x)\) trên K.

Chứng minh ĐL1: 

Do F(x)\(F(x)\) là một nguyên hàm của hàm số f(x) nân ta có F\(F'(x) =f(x)\)

Khi  G\(G'(x)=F'(x)+(C)'=f(x)\)

Vậy  G(x)\(G(x)\) cũng là một nguyên hàm của hàm số f(x)\(f(x)\)

Định lí 2: Nếu F(x) là một nguyên hàm của hàm số f(x)\(f(x)\) trên K thì mọi nguyên hàm của hàm số f(x)\(f(x)\) trên K đều có dạng F\left( x \right) + C\(F\left( x \right) + C\) với C là một hằng số.

Chứng minh ĐL2:

Giả sử G(x) cũng là một nguyên hàm của f(x) trên K, ta có G\(G'(x)=f(x), x \in K\)

Khi đó (G(x)-F(x))\((G(x)-F(x))'=G'(x)-F'(x)=0\)

Suy ra G(x) - F(x) =C\(G(x) - F(x) =C\)  (C là hàm số không đổi)

Định lí 3: Mọi hàm số f(x)\(f(x)\) liên tục trên K đều có nguyên hàm trên K

B. Tính chất nguyên hàm

Nếu f(x)\(f(x)\)g(x)\(g(x)\) là hai hàm số liên tục trên K thì:

Tính chất 1:  \int {f\(\int {f'\left( x \right) = f\left( x \right) + C}\)

Tính chất 2: \int {kf\left( x \right)dx = k\int {f\left( x \right)dx} }\(\int {kf\left( x \right)dx = k\int {f\left( x \right)dx} }\) với k là số thực khác 0

Tính chất 3: \int {\left[ {a.f\left( x \right) + b.g\left( x \right)} \right]} dx = a\int {f\left( x \right)dx}  + b\int {g\left( x \right)dx}\(\int {\left[ {a.f\left( x \right) + b.g\left( x \right)} \right]} dx = a\int {f\left( x \right)dx} + b\int {g\left( x \right)dx}\) với a, b là hai số thực khác 0

Tính chất 4: Với a,b \in \mathbb{R}\(a,b \in \mathbb{R}\)a \ne 0\(a \ne 0\) ta có: \int {f\left( {ax + b} \right)dx}  = \frac{1}{a}F\left( {ax + b} \right) + C\(\int {f\left( {ax + b} \right)dx} = \frac{1}{a}F\left( {ax + b} \right) + C\)

Một số ví dụ:

Ví dụ 1: Tính nguyên hàm của hàm số 2\sin x + 3\cos x\(2\sin x + 3\cos x\)

Hướng dẫn giải

\begin{matrix}
  \int {\left[ {2\sin x + 3\cos x} \right]} dx \hfill \\
   = 2\int {\sin xdx}  + 3\int {\cos xdx}  \hfill \\
   = 2.\left( { - \cos x} \right) + 3.\sin x + C \hfill \\
   =  - 2\cos x + 3\sin x + C \hfill \\ 
\end{matrix}\(\begin{matrix} \int {\left[ {2\sin x + 3\cos x} \right]} dx \hfill \\ = 2\int {\sin xdx} + 3\int {\cos xdx} \hfill \\ = 2.\left( { - \cos x} \right) + 3.\sin x + C \hfill \\ = - 2\cos x + 3\sin x + C \hfill \\ \end{matrix}\)

Ví dụ 2: Nguyên hàm của hàm số \frac{1}{{2x + 1}}\(\frac{1}{{2x + 1}}\)

Hướng dẫn giải

\int {\frac{1}{{2x + 1}}dx}  = \frac{1}{2}\ln \left| {2x + 1} \right| + C\(\int {\frac{1}{{2x + 1}}dx} = \frac{1}{2}\ln \left| {2x + 1} \right| + C\)

Câu trắc nghiệm mã số: 400665,400670,400671
Luyện tập mở rộng
Đóng Chỉ thành viên VnDoc PRO/PROPLUS tải được nội dung này!
Đóng
79.000 / tháng
Đặc quyền các gói Thành viên
PRO
Phổ biến nhất
PRO+
Tải tài liệu Cao cấp 1 Lớp
30 lượt tải tài liệu
Xem nội dung bài viết
Trải nghiệm Không quảng cáo
Làm bài trắc nghiệm không giới hạn
Mua cả năm Tiết kiệm tới 48%

Có thể bạn quan tâm

Xác thực tài khoản!

Theo Nghị định 147/2024/ND-CP, bạn cần xác thực tài khoản trước khi sử dụng tính năng này. Chúng tôi sẽ gửi mã xác thực qua SMS hoặc Zalo tới số điện thoại mà bạn nhập dưới đây:

Số điện thoại chưa đúng định dạng!
Số điện thoại này đã được xác thực!
Bạn có thể dùng Sđt này đăng nhập tại đây!
Lỗi gửi SMS, liên hệ Admin
Sắp xếp theo
🖼️

Toán 12 (cũ)

Xem thêm
🖼️

Gợi ý cho bạn

Xem thêm