Toán 11 Cánh Diều bài tập cuối chương 2
Từ năm học mới 2023 - 2024, Chương trình Toán lớp 11 sẽ được giảng dạy theo 3 bộ sách: Chân trời sáng tạo; Kết nối tri thức với cuộc sống và Cánh diều. Để giúp các thầy cô và các em học sinh làm quen với từng bộ sách mới, VnDoc xin giới thiệu tài liệu Toán 11 Cánh Diều bài tập cuối chương 2. Mời quý bạn đọc cùng tham khảo.
Giải Toán 11 Cánh Diều bài tập cuối chương 2 trang 57, 58
- 1. Bài tập 1 trang 57 sgk Toán 11 tập 1 Cánh diều
- 2. Bài tập 2 trang 57 sgk Toán 11 tập 1 Cánh diều
- 3. Bài tập 3 trang 57 sgk Toán 11 tập 1 Cánh diều
- 4. Bài tập 4 trang 57 sgk Toán 11 tập 1 Cánh diều
- 5. Bài tập 5 trang 57 sgk Toán 11 tập 1 Cánh diều
- 6. Bài tập 6 trang 57 sgk Toán 11 tập 1 Cánh diều
- 7. Bài tập 7 trang 57 sgk Toán 11 tập 1 Cánh diều
- 8. Bài tập 8 trang 58 sgk Toán 11 tập 1 Cánh diều
- 9. Bài tập 9 trang 58 sgk Toán 11 tập 1 Cánh diều
- 10. Bài tập 10 trang 58 sgk Toán 11 tập 1 Cánh diều
- 11. Bài tập 11 trang 58 sgk Toán 11 tập 1 Cánh diều
- 12. Bài tập 12 trang 58 sgk Toán 11 tập 1 Cánh diều
- 13. Bài tập 13 trang 58 sgk Toán 11 tập 1 Cánh diều
- 14. Bài tập 14 trang 58 sgk Toán 11 tập 1 Cánh diều
- 15. Bài tập 15 trang 58 sgk Toán 11 tập 1 Cánh diều
- 16. Bài tập 16 trang 58 sgk Toán 11 tập 1 Cánh diều
1. Bài tập 1 trang 57 sgk Toán 11 tập 1 Cánh diều
Cho dãy số (
\(u_{n}\)) được xác định bởi:
\(u_{1}=\frac{1}{3}\) và
\(u_{n}=3u_{n-1}\) với mọi
\(n\geq 2\). Số hạng thứ năm của dãy số (
\(u_{n}\)) là:
A.
\(27\)
B.
\(9\)
C.
\(81\)
D.
\(243\)
Trả lời: Chọn đáp án A
2. Bài tập 2 trang 57 sgk Toán 11 tập 1 Cánh diều
Trong các dãy số sau, dãy số nào là cấp số cộng?
A.
\(21, -3, -27, -51,-75\)
B.
\(\frac{1}{2}, \frac{5}{4}, 2, \frac{11}{4},\frac{15}{4}\)
C.
\(\sqrt{1},\sqrt{2}, \sqrt{3},\sqrt{4}, \sqrt{5}\)
D.
\(\frac{1}{20}, \frac{1}{30}, \frac{1}{40}, \frac{1}{50}, \frac{1}{60}\)
Trả lời: Chọn đáp án A
3. Bài tập 3 trang 57 sgk Toán 11 tập 1 Cánh diều
Cho cấp số cộng (
\(u_{n}\)) có số hạng đầu
\(u_{1}=-5\), công sai
\(d=4\). Công thức của số hạng tổng quát
\(u_{n}\) là:
A.
\(u_{n}=-5+4n\)
B.
\(u_{n}=-1-4n\)
C.
\(u_{n}=-5+4n^{2}\)
D.
\(u_{n}=-9+4n\)
Trả lời: Chọn đáp án D
4. Bài tập 4 trang 57 sgk Toán 11 tập 1 Cánh diều
Tổng 100 số tự nhiên lẻ đầu tiên tính từ 1 là:
A. 10 000
B. 10 100
C. 20 000
D. 20 200
Trả lời: Chọn đáp án A
5. Bài tập 5 trang 57 sgk Toán 11 tập 1 Cánh diều
Trong các dãy số (
\(u_{n}\)) cho bằng phương pháp truy hồi sau, dãy số nào là cấp số nhân?
A. Dãy số (
\(u_{n}\)) được xác định bởi:
\(u_{1}=1\) và
\(u_{n}=u_{n-1}(n-1)\) với mọi
\(n\geq 2\)
B. Dãy số (
\(u_{n}\)) được xác định bởi:
\(u_{1}=1\) và
\(u_{n}=2u_{n-1}+1\) với mọi
\(n\geq 2\)
C. Dãy số (
\(u_{n}\)) được xác định bởi:
\(u_{1}=1\) và
\(u_{n}=u^{2}_{n-1}\) với mọi
\(n\geq 2\)
D. Dãy số (
\(u_{n}\)) được xác định bởi:
\(u_{1}=3\) và
\(u_{n}=\frac{1}{3}u_{n-1}\) với mọi
\(n\geq 2\)
Trả lời: Chọn đáp án D
6. Bài tập 6 trang 57 sgk Toán 11 tập 1 Cánh diều
Cho cấp số nhân (
\(u_{n}\)) có
\(u_{1}=-1\), công bội
\(q=-\frac{1}{10}\). Khi đó
\(\frac{1}{10^{2017}}\) là số hạng thứ:
A. 2016
B. 2017
C. 2018
D. 2019
Trả lời: Chọn đáp án C
7. Bài tập 7 trang 57 sgk Toán 11 tập 1 Cánh diều
Trong các dãy số (
\(u_{n}\)) sau đây, dãy số nào là dãy số tăng?
A.
\(u_{n}=sinn\)
B.
\(u_{n}=n(-1)^{n}\)
C.
\(u_{n}=\frac{1}{n}\)
D.
\(u_{n}=2^{n+1}\)
Trả lời: Chọn đáp án D
8. Bài tập 8 trang 58 sgk Toán 11 tập 1 Cánh diều
Xét tính tăng, giảm và bị chặn của mỗi dãy số (
\(u_{n}\)) sau, biết số hạng tổng quát:
a)
\(u_{n}= \frac{n^{2}}{n+1}\)
b)
\(u_{n}= \frac{2}{5^{n}}\)
c)
\(u_{n}= (-1)^{n}.n^{2}\)
Trả lời:
a) Dãy số
\((u_{n})\) là dãy số tăng và bị chặn dưới vì
\(\frac{n^{2}}{n+1}> 0\).
b) Dãy số
\((u_{n})\) là dãy số giảm và bị chặn dưới vì
\(\frac{2}{5^{n}}\geq \frac{2}{5}\).
c) Dãy số
\((u_{n})\) là dãy số không tăng không giảm và không bị chặn.
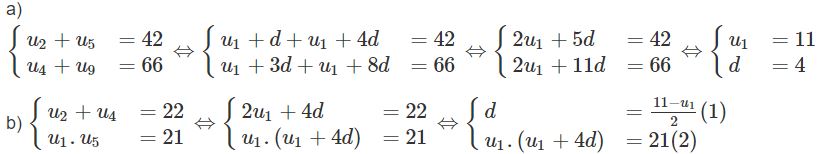
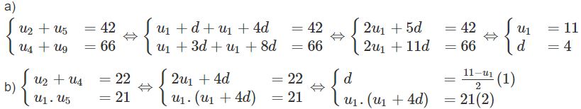
9. Bài tập 9 trang 58 sgk Toán 11 tập 1 Cánh diều
Cho cấp số cộng (
\(u_{n}\)). Tìm số hạng đầu
\(u_{1}\), công sai
\(d\) trong mỗi trường hợp sau:
a)
\(u_{2}+u_{5}=42\) và
\(u_{4}+u_{9}=66\)
b)
\(u_{2}+u_{4}=22\) và
\(u_{1}.u_{5}=21\).
Trả lời:


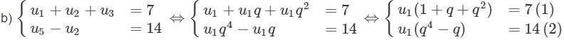
10. Bài tập 10 trang 58 sgk Toán 11 tập 1 Cánh diều
Cho cấp số nhân (
\(u_{n}\)).Tìm số hạng đầu
\(u_{1}\), công bội
\(q\) trong mỗi trường hợp sau:
a)
\(u_{6}=192\) và
\(u_{7}=384\)
b)
\(u_{1}+u_{2}+u_{3}=7\) và
\(u_{5}-u_{2}=14\).
Trả lời:
a) Ta có:
\(u_{6}=u_{1}.q^{5}=192 \left ( 1 \right )\)
\(u_{7}=u_{1}.q^{6}=384 \left ( 2 \right )\)
Chia
\(\frac{\left ( 1 \right )}{\left ( 2 \right )}\) ta có:
\(\frac{u_{1}.q^{5}}{u_{1}.q^{6}}=\frac{1}{2}\Leftrightarrow q=2\)
Thay
\(q=2\) vào (1) ta có:
\(u_{1}.2^{5}=192\Leftrightarrow u_{1}=6\)
![]()
Chia
\(\frac{\left ( 1 \right )}{\left ( 2 \right )}\) ta có:
\(\frac{1+q+q^{2}}{q^{4}-q}=\frac{1}{2}\Leftrightarrow 2(1+q+q^{2})=q^{4}-q\Leftrightarrow (q+1)(q^{3}-q^{2}-q-2)=0\)

11. Bài tập 11 trang 58 sgk Toán 11 tập 1 Cánh diều
Tứ giác ABCD có số đo bốn góc A, B, C, D theo thứ tự lập thành cấp số cộng. Biết số đo góc C gấp 5 lần số đo góc A. Tính số đo các góc của tứ giác ABCD theo đơn vị độ.
Trả lời:
Ta có:
\(u_{1}=\widehat{A};u_{2}=\widehat{B}=\widehat{A}+d;u_{3}=\widehat{C}=\widehat{A}+2d;u_{4}=\widehat{D}=\widehat{A}+3d\)
Mà:
\(\widehat{C}=5\widehat{A}=\widehat{A}+2d\Rightarrow d=2\widehat{A}\)
Vì:
\(\widehat{A}+\widehat{B}+\widehat{C}+\widehat{D}=360^{\circ}\)
\(\Leftrightarrow 16\hat{A} =360^{0}\Leftrightarrow\hat{A} =22.5^{0}\)
\(\Rightarrow \widehat{B}=67,5^{\circ};\widehat{C}=112,5^{\circ};\widehat{D}=157,5^{\circ}\)
12. Bài tập 12 trang 58 sgk Toán 11 tập 1 Cánh diều
Người ta trồng cây theo các hàng ngang với quy luật: ở hàng thứ nhất có 1 cây, ở hàng thứ hai có 2 cây, ở hàng thứ ba có 3 cây, ... ở hàng thứ n có n cây. Biết rằng người ta trồng hết 4 950 cây. Hỏi số hàng cây được trồng theo cách trên là bao nhiêu?
Trả lời:
\(u_{1}=1,d=1\)
Ta có:
\(S_{n}=n+\frac{n(n-1)}{2}=4950\Leftrightarrow n=99\)
Vậy có 99 hàng cây được trồng theo cách trên.
13. Bài tập 13 trang 58 sgk Toán 11 tập 1 Cánh diều
Một cái tháp có 11 tầng. Diện tích của mặt sàn tầng 2 bằng nửa diện tích của mặt đáy tháp và diện tích của mặt sàn mỗi tầng bằng nửa diện tích của mặt sàn mỗi tầng ngay bên dưới. Biết mặt đáy tháp có diện tích là
\(12 288 m^{2}\). Tính diện tích của mặt sàn tầng trên cùng của tháp theo đơn vị mét vuông.
Trả lời:
Ta có:
\(n=11, u_{1}=12288,q=\frac{1}{2}\)
Do đó:
\(u_{11}=12288.(\frac{1}{2})^{10}=12\) (mét vuông).
14. Bài tập 14 trang 58 sgk Toán 11 tập 1 Cánh diều
Một khay nước có nhiệt độ
\(23^{\circ}C\) được đặt vào ngăn đá của tủ lạnh. Biết sau mỗi giờ, nhiệt độ của nước giảm 20%. Tính nhiệt độ của khay nước đó sau 6 giờ theo đơn vị độ C.
Trả lời:
Nhiệt độ của khay nước đó sau 6 giờ là:
\(u_{6}=23.(1-0,5)^{5}=0,72\) (độ C).
15. Bài tập 15 trang 58 sgk Toán 11 tập 1 Cánh diều
Cho hình vuông
\(C_{1}\) có cạnh bằng 4. Người ta chia mỗi cạnh hình vuông thành bốn phần bằng nhau và nối các điểm chia một cách thích hợp để có hình vuông
\(C_{2}\) (Hình 4). Từ hình vuông
\(C_{2}\) lại làm tiếp tục như trên để có hình vuông
\(C_{3}\). Cứ tiếp tục quá trình như trên, ta nhận được dãy các hình vuông
\(C_{1}, C_{2}, C_{3}, ..., C_{n}, ...\) Gọi
\(a_{n}\) là độ dài cạnh hình vuông
\(C_{n}\). Chứng minh rằng dãy số (
\(a_{n}\)) là cấp số nhân.

Trả lời:
Ta có độ dài cạnh các hình vuông
\(C_{1}, C_{2}, C_{3}\), ...,
\(C_{n},\)... là:
\(a_{1}=4;a_{2}=\sqrt{10};a_{3}=\frac{5}{2};a_{4}=\frac{5\sqrt{10}}{8}\)...
Ta thấy dãy số trên là một cấp số nhân với công bội
\(q=\frac{\sqrt{10}}{4}\).
16. Bài tập 16 trang 58 sgk Toán 11 tập 1 Cánh diều
Ông An vay ngân hàng 1 tỉ đồng với lãi suất 12%/năm. Ông đã trả nợ theo cách: Bắt đầu từ tháng thứ nhất sau khi vay, cuối mỗi tháng ông trả ngân hàng cùng số tiền là
\(a\) (đồng) và đã trả hết nợ sau đúng 2 năm kể từ ngày vay. Hỏi số tiền mỗi tháng mà ông An phải trả là bao nhiêu đồng (làm tròn kết quả đến hàng nghìn)?
Trả lời:
Ta có: 1 năm = 12 tháng
\(\Rightarrow 12\%\)/năm =
\(1\%/\) tháng
Có công bội
\(q=1+0,01\)
\(S_{24}=\frac{a.\left [ 1-(1+0,01)^{24} \right ]}{1-(1+0,01)}=10^{9}\Rightarrow a\approx 37073\) (đồng).
-------------------
Trên đây VnDoc.com vừa gửi tới bạn đọc bài viết Toán 11 Cánh Diều trang 57, 58 bài tập cuối chương II. Hi vọng qua bài viết này bạn đọc có thêm tài liệu để học tập tốt hơn môn Toán 11 Cánh Diều.