Phân thức đại số
Chuyên đề Toán học lớp 8: Phân thức đại số được VnDoc tổng hợp và đăng tải. Gồm nội dung về lý thuyết cũng như các bài tập trắc nghiệm nhằm hướng dẫn các em trả lời và giải đáp các câu hỏi tròn bài học. Với cách làm chi tiết, dễ hiểu hi vọng sẽ giúp các em nắm vững kiến thức bài học. Dưới đây là nội dung bài học các em tham khảo nhé
Chuyên đề: Phân thức đại số
A. Lý thuyết
1. Định nghĩa về phân thức đại số
Một phân thức đại số (hay nói gọn là phân thức) là một biểu thức có dạng A/B, trong đó A, B là những đa thức và B khác đa thức 0.
Trong đó:
+ A được gọi là tử thức (hay gọi là tử).
+ B được gọi là mẫu thức (hay gọi là mẫu).
Chú ý:
+ Mỗi đa thức cúng được coi như một phân thức với mẫu thức bằng 1.
+ Số 0, số 1 cũng là một phân thức đại số.
Ví dụ: Ta có các phân thức đại số như: (2x - 1)/(3x + 2), 1/(3x), 4/1, ...
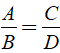
2. Hai phân thức bằng nhau
Hai phân thức A/B và C/D được gọi là bằng nhau nếu: A.D = B.C
Ta viết:
nếu A.D = B.C.
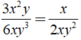
Ví dụ:
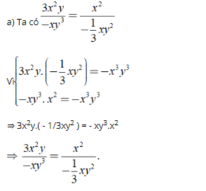
+
vì 3x2y.2xy2 = x.6xy3 hay 6x2y3 = 6x2y3.
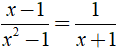
+
vì ( x - 1 ).( x + 1 ) = 1.( x2 - 1 )
B. Trắc nghiệm & Tự luận
I. Bài tập trắc nghiệm
Bài 1: Điều kiện xác định của phân thức (x2 - 4)/(9x2 - 16) là?
A. x = ± 4/3.
B. x ≠ ± 4/3.
C. - 43 < x < 4/3.
D. x > 4/3.
Ta có điều kiện xác định của phân thức (x2 - 4)/(9x2 - 16) là 9x2 - 16 ≠ 0
⇔ 9x2 ≠ 16 ⇔ x2 ≠ 16/9 ⇔ x ≠ ± 4/3.
Chọn đáp án A.
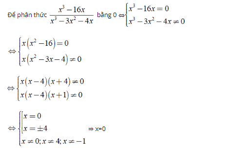
Bài 2: Giá trị của x để phân thức
bằng 0?
A. x = ± 4. B. x ≠ 1. C. x = 0. D. x = - 1.

Chọn đáp án C.
Bài 3: Cặp phân thức nào không bằng nhau?


⇒ - x2y.3y không bằng xy.3xy.
⇒ ( - x2y)/(3xy) không bằng (xy)/(3y).
Chọn đáp án D.
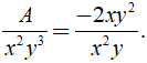
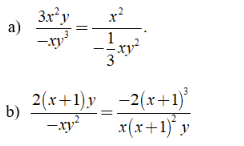
Bài 4: Tìm biểu thức A sao cho: 
A. - 2x2y. B. x2y4. C. - 2xy4. D. - x3y.

Chọn đáp án C.
Bài 5: Biểu thức nào sau đây không phải là phân thức đại số?
A. 1/(x2 + 1) B. (x + 1)/2 C. x2 - 5 D. (x + 1)/0
Nhớ lại định nghĩa: Một phân thức đại số (hay nói gọn là phân thức) là một biểu thức có dạng A/B, trong đó A, B là những đa thức và B khác đa thức 0.
+ 1/(x2 + 1) có A = 1; B = x2 + 1 ≠ 0 ⇒ 1/(x2 + 1) là phân thức đại số.
+ (x + 1)/2 có A = x + 1; B = 2 ≠ 0 ⇒ (x + 1)/2 là phân thức đại số.
+ x2 - 5 có A = x2 - 5; B = 1 ⇒ x2 - 5 là phân thức đại số.
+ (x + 1)/0 có A = x + 1;B = 0 ⇒ (x + 1)/0 không phải là phân thức đại số .
Chọn đáp án D.
II. Bài tập tự luận
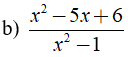
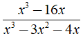
Bài 1: Tìm điều kiện xác định của phân thức



Hướng dẫn:

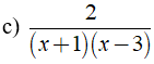
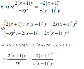
Bài 2: Chứng minh các phân thức sau bằng nhau

Hướng dẫn:


Ngoài ra, VnDoc.com đã thành lập group chia sẻ tài liệu học tập THCS miễn phí trên Facebook: Tài liệu học tập lớp 8. Mời các bạn học sinh tham gia nhóm, để có thể nhận được những tài liệu mới nhất.
Chuyên đề Toán học lớp 8: Phân thức đại số được VnDoc chia sẻ trên đây. Hy vọng với tài liệu này sẽ giúp ích cho các em có thêm tài liệu tham khảo, đánh giá so sánh kết quả của mình. Chúc các em học tốt, nếu thấy tài liệu hữu ích hãy chia sẻ cho các bạn cùng tham khảo nhé
Trên đây VnDoc đã giới thiệu tới các bạn lý thuyết môn Toán học 8: Phân thức đại số. Để có kết quả cao hơn trong học tập, VnDoc xin giới thiệu tới các bạn học sinh tài liệu Chuyên đề Toán học 8, Giải bài tập Toán lớp 8, Giải VBT Toán lớp 8 mà VnDoc tổng hợp và giới thiệu tới các bạn đọc
| Đặt câu hỏi về học tập, giáo dục, giải bài tập của bạn tại chuyên mục Hỏi đáp của VnDoc | |
| Hỏi - Đáp | Truy cập ngay: Hỏi - Đáp học tập |