Câu 2.

Câu 3.

Sáng 07/6, các thí sinh Hà Nam tiếp tục làm bài thi môn Toán kỳ thi tuyển sinh vào lớp 10 năm học 2025 - 2026. VnDoc gửi tới các bạn Đề thi tuyển sinh lớp 10 môn Toán tỉnh Hà Nam năm 2025 kèm đáp án tham khảo sau khi hết thời gian làm bài. Mời các bạn theo dõi.
VnDoc sẽ gửi tới các bạn Đáp án đề thi vào 10 môn Toán Hà Nam 2025 sau khi hết thời gian làm bài ngày 07/0602025.


Lịch thi vào 10 Hà Nam 2025





Câu 6


Lịch thi vào lớp 10 Hà Nam năm học 2024 - 2025:


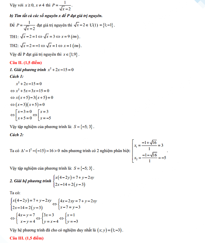
Câu 1.

Câu 2.

Câu 3.

Câu 4.
Đặt x là số tiền điện mà mỗi hộ gia đình bác An dùng trong tháng 4 năm 2023. (500 > x > 65, nghìn đồng).
y là số tiền điện mà mỗi hộ gia đình bác Bình dùng trong tháng 4 năm 2023. (500 > y > 65, nghìn đồng).
Theo đề bài, hai hộ gia đình bác An và bác Bình dùng hết tổng cộng 500 nghìn đồng tiền điện. Vì vậy, ta có phương trình:
x + y = 500 (1)
Sang tháng 5 năm 2023, nhà bác An giảm được 15% tiền điện và nhà bác Bình giảm được 10% tiền điện. Điều này tương đương với việc cả hai hộ gia đình tiết kiệm được tổng cộng 65 nghìn đồng tiền điện so với tháng 4 năm 2023. Ta có phương trình:
0.15x + 0.10y = 65
Kết hợp phương trình (1), ta có:
\(\left\{ \matrix{ x + y = 500 \hfill \cr 0.15x + 0.10y \hfill \cr} \right.⇔ \left\{ \matrix{ x = 300 \hfill \cr y = 200 \hfill \cr} \right.\)
Vậy, ..........
Câu 5.
\(P=\dfrac{ab}{\sqrt{c+ab}}+\dfrac{bc}{\sqrt{a+bc}}+\dfrac{ca}{\sqrt{b+ca}}\)
\(\sqrt{c+ab} =\sqrt{c\left(a+b+c\right)+ab}=\sqrt{c^2+ac+cb+ab}=\sqrt{\left(c+a\right)\left(c+b\right)}\)
\(\dfrac{ab}{\sqrt{c+ab}}\le\dfrac{ab}{2}\left(\dfrac{1}{c+a}+\dfrac{1}{b+c}\right)\)
tương tự ta có:
\(\dfrac{bc}{\sqrt{a+bc}}\le\dfrac{1}{2}\left(\dfrac{1}{a+b}+\dfrac{1}{a+c}\right);\dfrac{ac}{\sqrt{b+ca}}\le\dfrac{1}{2}\left(\dfrac{1}{b+a}+\dfrac{1}{a+c}\right)\)
\(\Rightarrow P\le\dfrac{bc+ac}{2\left(a+b\right)}+\dfrac{ac+ab}{2\left(a+b\right)}+\dfrac{bc+ab}{2\left(c+b\right)}=\dfrac{1}{2}\left(a+b+c\right)=\dfrac{1}{2}\)
Dấu = xảy ra khi
\(a=b=c= \dfrac{1}{3}\)
Đề thi vào 10 môn Toán (chung) THPT Chuyên Biên Hòa - Hà Nam (2023 - 2024)

Đáp án đề thi vào 10 môn Toán chuyên Biên Hòa Hà Nam 2023






Theo Nghị định 147/2024/ND-CP, bạn cần xác thực tài khoản trước khi sử dụng tính năng này. Chúng tôi sẽ gửi mã xác thực qua SMS hoặc Zalo tới số điện thoại mà bạn nhập dưới đây:
Thi vào lớp 10
Đề thi vào 10 môn Toán
Đề thi vào 10 môn Văn
Đề thi vào 10 môn tiếng Anh
Đề thi vào 10 môn Lịch sử
Xem Điểm thi vào 10
Đề Kiểm Tra Năng Lực vào Lớp 10
Chuyên đề Văn 9