Đáp án đề thi tuyển sinh lớp 10 môn Toán Nghệ An 2025
Sáng 4/6, các thí sinh tỉnh Nghệ An tiếp tục làm bài thi môn Toán kỳ thi tuyển sinh vào lớp 10 năm học 2025 - 2026. VnDoc gửi tới các bạn Đề thi tuyển sinh lớp 10 môn Toán Nghệ An năm 2025 kèm đáp án tham khảo ngay sau khi kết thúc thời gian làm bài. Mời các bạn theo dõi.
Đề thi tuyển sinh lớp 10 môn Toán 2025 Nghệ An
1. Đáp án đề thi vào 10 môn Toán Nghệ An 2025


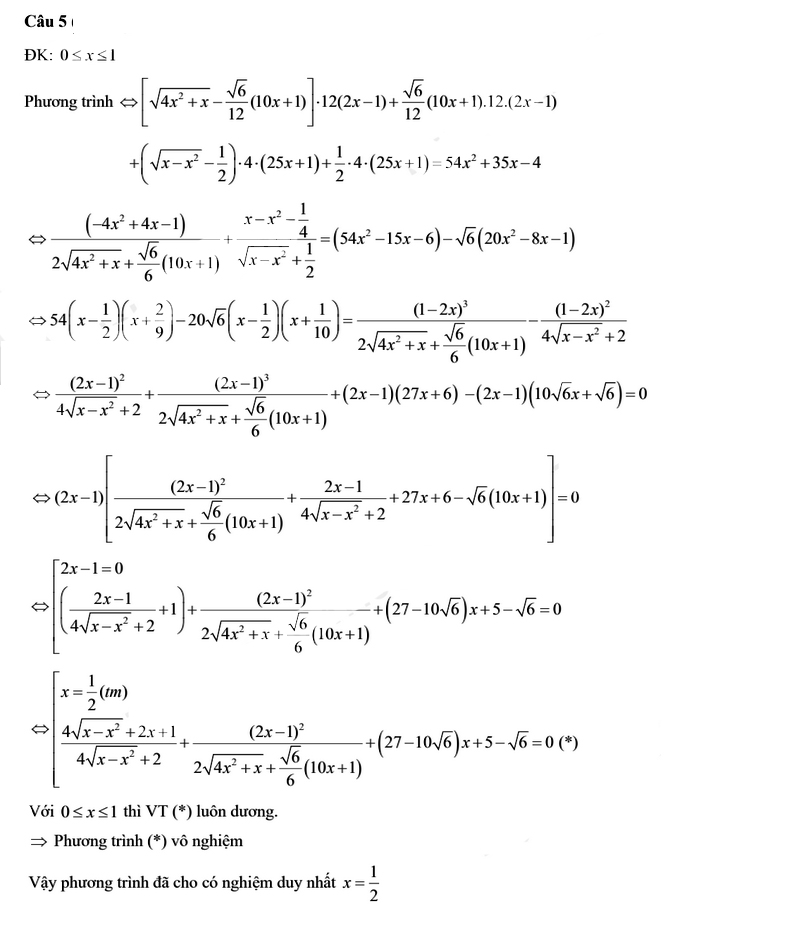
Câu 5
a.


2. Đề thi vào 10 môn Toán Nghệ An 2025


3. Đáp án đề thi vào 10 môn Toán Nghệ An 2024
Câu 1:


Câu 3





4. Đề thi vào 10 môn Toán Nghệ An 2024

Lịch thi vào lớp 10 năm 2024 tỉnh Nghệ An
|
Ngày |
Buổi |
Môn thi |
Thời gian làm bài |
Giờ phát đề thi cho thí sinh |
Giờ bắt đầu làm bài |
|
05/6/2024 |
Sáng |
Ngữ văn |
120 phút |
7 giờ 55 |
8 giờ 00 |
|
Chiều |
Ngoại ngữ |
60 phút |
14 giờ 50 |
15 giờ 00 |
|
|
06/6/2024 |
Sáng |
Toán |
120 phút |
7 giờ 55 |
8 giờ 00 |
5. Đáp án đề thi vào 10 Toán Nghệ An 2023
Câu 1.

Câu 2.

Câu 3
Câu 4.




6. Đề thi tuyển sinh lớp 10 môn Toán Nghệ An 2023
