Đáp án đề thi tuyển sinh lớp 10 môn Toán Huế 2025
Đề thi tuyển sinh lớp 10 môn Toán Huế
Lớp:
Ôn vào 10
Môn:
Toán
Dạng tài liệu:
Đề thi
Loại:
Tài liệu Lẻ
Phân loại:
Tài liệu Tính phí
Đề thi tuyển sinh lớp 10 môn Toán Huế
Chiều 2/6, các thí sinh tỉnh Thừa Thiên Huế tiếp tục làm bài thi môn Toán kỳ thi tuyển sinh vào lớp 10 năm 2025. VnDoc gửi tới các bạn Đề thi tuyển sinh lớp 10 môn Toán tỉnh Thừa Thiên Huế năm 2025 kèm đáp án tham khảo ngay sau khi kết thúc thời gian làm bài. Mời các bạn theo dõi.
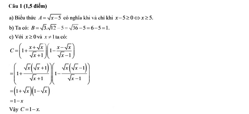
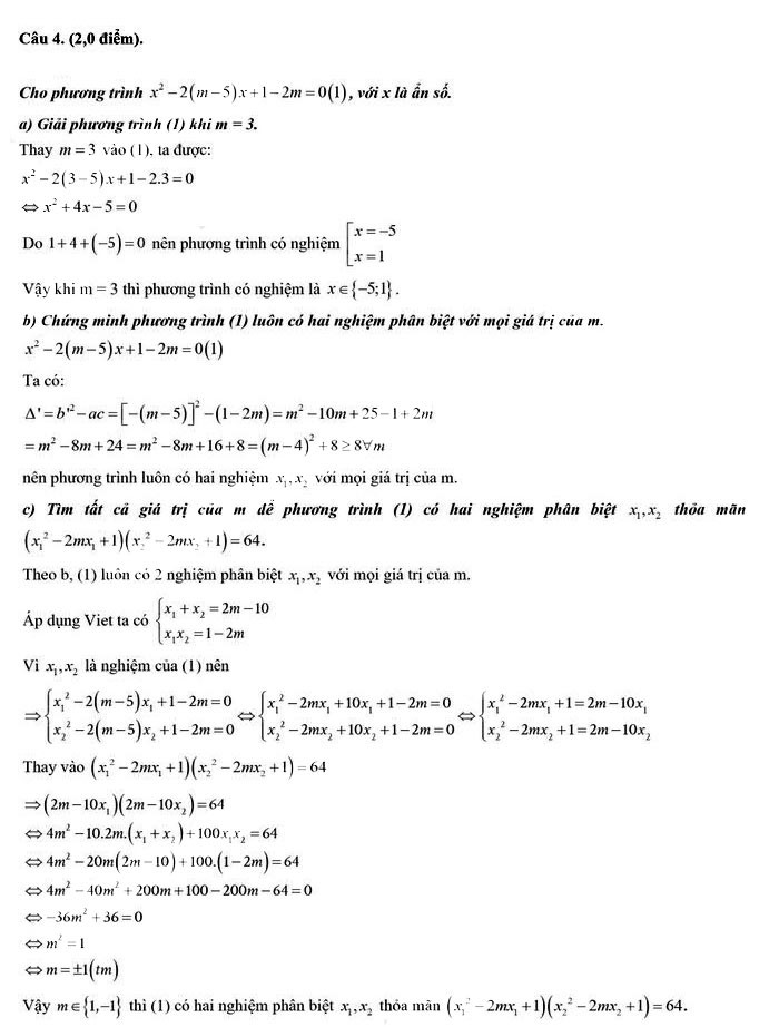
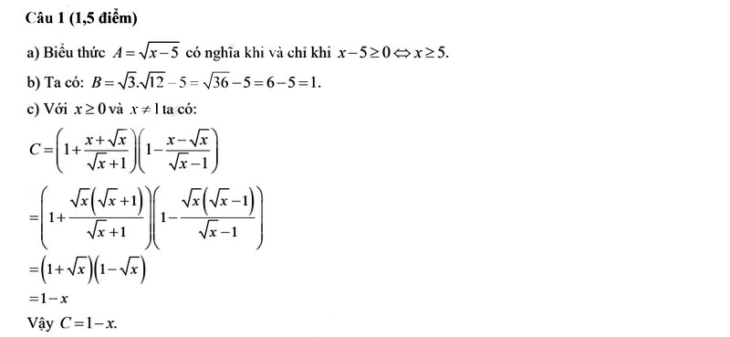
1. Đáp án đề thi vào 10 Toán Huế 2025







2. Đề thi vào 10 Toán Huế 2025


Lịch thi vào 10 Huế 2025

3. Đáp án đề thi vào 10 môn Toán Thừa Thiên Huế 2024






4. Đề thi tuyển sinh lớp 10 môn Toán Thừa Thiên Huế 2024
