Đáp án đề thi tuyển sinh lớp 10 môn Toán Ninh Thuận 2025
Đề thi tuyển sinh lớp 10 môn toán Ninh Thuận
Lớp:
Ôn vào 10
Môn:
Toán
Dạng tài liệu:
Đề thi
Loại:
Tài liệu Lẻ
Phân loại:
Tài liệu Tính phí
Đề thi vào 10 Toán Ninh Thuận 2025
Sáng 8/6, các thí sinh tỉnh Ninh Thuận tiếp tục làm bài thi môn Toán kỳ thi tuyển sinh lớp 10 năm 2025. VnDoc sẽ gửi tới các bạn Đề thi tuyển sinh lớp 10 môn Toán năm 2025 tỉnh Ninh Thuận kèm đáp án tham khảo sau khi hết thời gian làm bài. Mời các bạn theo dõi để so sánh đối chiếu với kết quả bài làm của mình nhé.
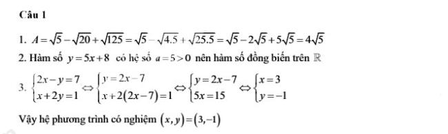
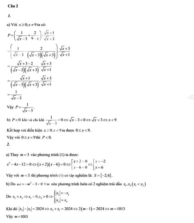
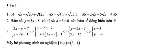
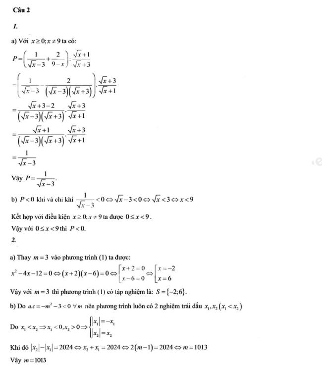
1. Đáp án đề thi vào 10 Toán Ninh Thuận 2025



1. Đề thi vào 10 Toán Ninh Thuận 2025

3. Đáp án đề thi vào 10 Toán Ninh Thuận 2024






4. Đề thi vào 10 Toán Ninh Thuận 2024
