Đáp án đề thi tuyển sinh lớp 10 môn Toán Long An 2025
Đề thi tuyển sinh lớp 10 môn Toán 2025 Long An
Sáng 7/6/2025, các thí sinh tỉnh Long An tiếp tục làm bài thi môn Toán kỳ thi tuyển sinh vào lớp 10 năm học 2025 - 2026. VnDoc gửi tới các bạn Đề thi tuyển sinh lớp 10 môn Toán Long An năm 2025 kèm đáp án tham khảo ngay sau khi kết thúc thời gian làm bài. Mời các bạn theo dõi.
1. Đáp án đề thi vào 10 Toán Long An 2025



2. Đề thi vào 10 Toán Long An 2025


3. Đáp án đề thi vào 10 Toán Long An 2024






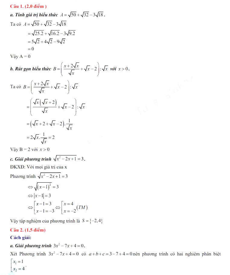
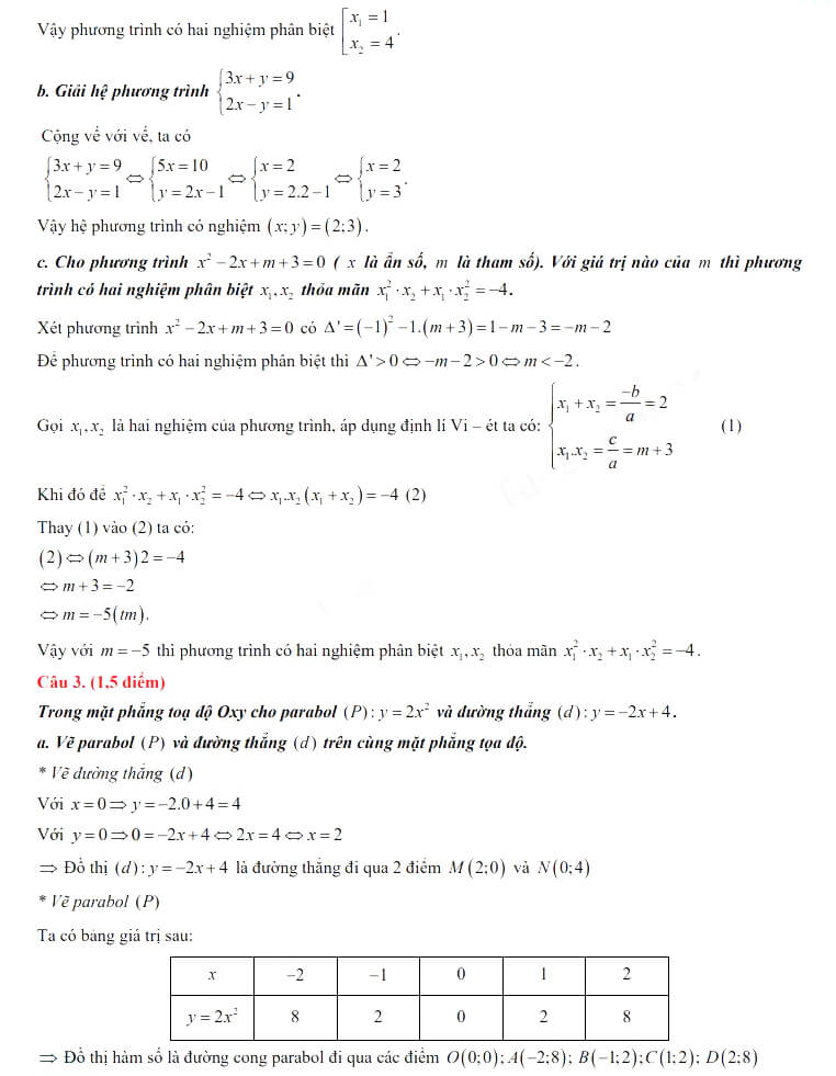
Câu 7.


2. Đề thi vào 10 môn Toán Long An 2024


Lịch thi vào lớp 10 THPT công lập, THPT Chuyên Long An năm học 2024 - 2025
- Nếu môn Tiếng Anh được chọn là môn thi thứ 3 trong kỳ tuyển sinh vào lớp 10 chung của tỉnh.
|
Ngày
|
Buổi
|
Môn thi |
Thời gian làm bài |
Giờ phát đề
|
Giờ bắt đầu làm bài |
|
06/6/2024 |
Sáng |
Ngữ Văn |
120 phút |
7 giờ 25 |
7 giờ 30 |
|
Chiều |
Tiếng Anh (không chuyên) |
60 phút |
13 giờ 55 |
14 giờ 00 |
|
|
07/6/2024 |
Sáng |
Toán (không chuyên) |
120 phút |
7 giờ 25 |
7 giờ 30 |
|
|
Toán (chuyên Toán và chuyên Tin) |
150 phút |
13 giờ 55 |
14 giờ 00 |
|
|
Chiều |
Ngữ Văn (chuyên) |
150 phút |
13 giờ 55 |
14 giờ 00 |
|
Hóa học (chuyên) |
120 phút |
13 giờ 55 |
14 giờ 00 |
||
|
Sinh học (chuyên) |
120 phút |
13 giờ 55 |
14 giờ 00 |
||
|
Vật lý (chuyên) |
120 phút |
13 giờ 55 |
14 giờ 00 |
||
|
Tiếng Anh (chuyên) |
120 phút |
13 giờ 55 |
14 giờ 00 |
- Nếu môn Tiếng Anh không được chọn là môn thi thứ 3 trong kỳ tuyển sinh vào lớp 10 chung của tỉnh:
|
Ngày
|
Buổi
|
Môn thi |
Thời gian làm bài |
Giờ phát đề
|
Giờ bắt đầu làm bài |
|
06/6/2024 |
Sáng |
Ngữ Văn |
120 phút |
7 giờ 25 |
7 giờ 30 |
|
Chiều |
Môn thứ 3 |
60 phút |
13 giờ 55 |
14 giờ 00 |
|
|
07/6/2024 |
Sáng |
Toán (không chuyên) |
120 phút |
7 giờ 25 |
7 giờ 30 |
|
Chiều |
Toán (chuyên Toán và chuyên Tin) |
150 phút |
13 giờ 55 |
14 giờ 00 |
|
|
Ngữ Văn (chuyên) |
150 phút |
13 giờ 55 |
14 giờ 00 |
||
|
Hóa học (chuyên) |
120 phút |
13 giờ 55 |
14 giờ 00 |
||
|
Sinh học (chuyên) |
120 phút |
13 giờ 55 |
14 giờ 00 |
||
|
Vật lý (chuyên) |
120 phút |
13 giờ 55 |
14 giờ 00 |
||
|
Tiếng Anh (chuyên) |
120 phút |
13 giờ 55 |
14 giờ 00 |
||
|
08/6/2024 |
Sáng |
Tiếng Anh (không chuyên) |
60 phút |
7 giờ 25 |
7 giờ 30 |
3. Đáp án đề thi vào 10 Toán Long An 2023







4. Đề thi tuyển sinh lớp 10 môn Toán Long An 2023
