Đề khảo sát vào lớp 10 môn Toán năm 2025 trường Nguyễn Tất Thành, Hà Nội
Ôn thi vào lớp 10 môn Toán có đáp án
Lớp:
Ôn vào 10
Môn:
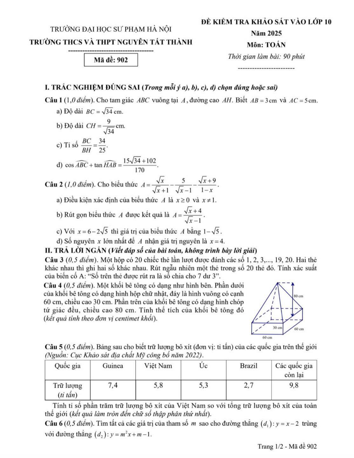
Toán
Dạng tài liệu:
Đề thi
Loại:
Tài liệu Lẻ
Loại File:
PDF
Phân loại:
Tài liệu Tính phí



Đề minh họa thi vào 10 môn Toán 2025
VnDoc giới thiệu đến quý thầy, cô giáo và các em học sinh Đề khảo sát vào lớp 10 môn Toán năm 2025 trường Nguyễn Tất Thành, Hà Nội. Tài liệu tổng hợp nhiều đề thi khác nhau có đáp án và hướng dẫn chấm điểm.
Ngoài tài liệu trên, VnDoc còn gửi tới các bạn nhiều tài liệu tuyển sinh vào lớp 10 các môn để giúp các em ôn luyện, làm quen với nhiều đề thi khác nhau, chuẩn bị cho kì thi tuyển sinh vào lớp 10 năm học 2025 - 2026.