Đáp án đề thi tuyển sinh lớp 10 môn Toán Quảng Bình 2025
Đề thi vào 10 môn Toán 2025 Quảng Bình
Lớp:
Ôn vào 10
Môn:
Toán
Dạng tài liệu:
Đề thi
Loại:
Tài liệu Lẻ
Phân loại:
Tài liệu Tính phí
Sáng 4/6, các thí sinh tỉnh Quảng Bình tiếp tục làm bài thi môn Toán kỳ thi tuyển sinh vào lớp 10 năm học 2025 - 2026. VnDoc gửi tới các bạn Đề thi tuyển sinh lớp 10 môn Toán Quảng Bình năm 2025 kèm đáp án tham khảo ngay sau khi kết thúc thời gian làm bài. Mời các bạn tham khảo chi tiết sau đây.
Đề thi vào 10 môn Toán Quảng Bình
- 1. Đáp án đề thi vào 10 Toán Quảng Bình 2025
- 2. Đề thi vào 10 Toán Quảng Bình 2025
- 3. Đáp án đề thi vào 10 Toán Quảng Bình 2024
- 4. Đề thi vào lớp 10 Toán Quảng Bình 2024
- 5. Đáp án đề thi tuyển sinh lớp 10 môn Toán Quảng Bình 2023 - 2024
- 6. Đề thi tuyển sinh lớp 10 môn Toán tỉnh Quảng Bình 2023
- 7. Đáp án đề thi tuyển sinh lớp 10 môn Toán tỉnh Quảng Bình 2022
- 8. Đề thi tuyển sinh lớp 10 môn Toán tỉnh Quảng Bình 2022
1. Đề thi vào 10 Toán Quảng Bình 2025



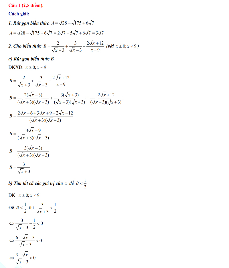
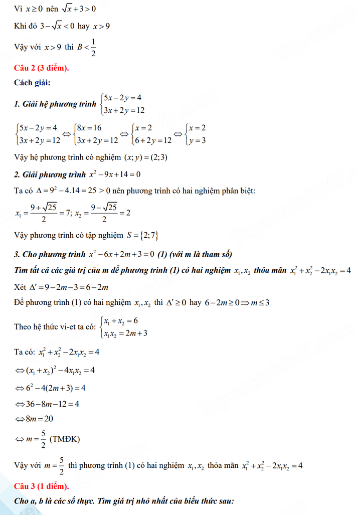
2. Đáp án đề thi vào 10 Toán Quảng Bình 2025





3. Đáp án đề thi vào 10 Toán Quảng Bình 2024
Mã đề 001




4. Đề thi vào lớp 10 Toán Quảng Bình 2024

5. Đáp án đề thi tuyển sinh lớp 10 môn Toán Quảng Bình 2023 - 2024




6. Đề thi tuyển sinh lớp 10 môn Toán tỉnh Quảng Bình 2023

7. Đáp án đề thi tuyển sinh lớp 10 môn Toán tỉnh Quảng Bình 2022



8. Đề thi tuyển sinh lớp 10 môn Toán tỉnh Quảng Bình 2022
