Đáp án đề thi tuyển sinh lớp 10 môn Toán Hòa Bình 2025
Sáng 4/6/2025, các thí sinh tỉnh Hòa Bình tiếp tục làm bài thi môn Toán kỳ thi tuyển sinh vào lớp 10 năm học 2025 - 2026. VnDoc gửi tới các bạn Đề thi tuyển sinh lớp 10 môn Toán Hòa Bình năm 2025 kèm đáp án tham khảo ngay sau khi kết thúc thời gian làm bài. Mời các bạn theo dõi.
Đề thi tuyển sinh lớp 10 môn Toán Hòa Bình
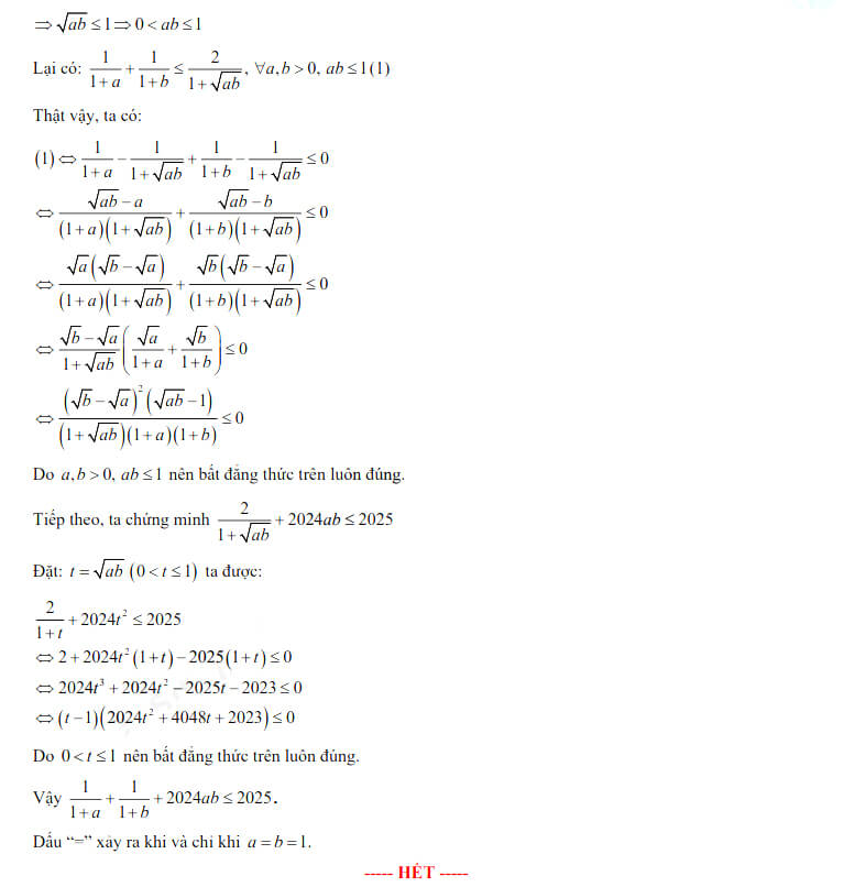
1. Đáp án đề thi vào 10 Toán Hòa Bình 2025
Đang cập nhật
2. Đề thi vào 10 Toán Hòa Bình 2025


3. Đáp án đề thi vào 10 Toán Hòa Bình 2024






4. Đề thi tuyển sinh lớp 10 môn Toán Hòa Bình 2024

Lịch thi vào lớp 10 THPT công lập tỉnh Hòa Bình năm 2024:
|
Ngày thi |
Buổi |
Môn thi |
Thời gian làm bài |
Giờ mở bì đề thi |
Giờ phát đề thi |
Giờ bắt đầu làm bài |
|
06/6/2024 |
SÁNG |
Ngữ văn |
120 phút |
7giờ 30 |
7 giờ 35 |
7giờ 40 |
|
CHIỀU |
Tiếng Anh |
60 phút |
14 giờ 00 |
14 giờ 05 |
14 giờ10 |
|
|
07/6/2024 |
SÁNG |
Toán |
120 phút |
7 giờ 30 |
7 giờ 35 |
7 giờ 40 |
5. Đáp án đề thi vào 10 Toán Hòa Bình 2023





6. Đề thi tuyển sinh lớp 10 môn Toán Hòa Bình 2023
