Đáp án đề thi tuyển sinh lớp 10 môn Toán Đắk Nông 2025
Đề thi vào 10 môn Toán năm 2025 có đáp án
Lớp:
Lớp 9
Môn:
Toán
Phân loại:
Tài liệu Tính phí
Đề thi vào lớp 10 Toán Đắk Nông
Chiêu 5/6, các thí sinh tỉnh Đắk Nông tiếp tục làm bài thi môn Toán kỳ thi tuyển sinh vào lớp 10 năm 2025. Sau đây, VnDoc sẽ gửi tới các bạn Đề thi tuyển sinh lớp 10 môn Toán năm 2025 tỉnh Đắk Nông kèm đáp án tham khảo ngay sau khi hết thời gian làm bài. Mời các bạn so sánh đối chiếu với kết quả bài làm của mình nhé.
1. Đáp án đề thi vào 10 môn Toán Đắk Nông 2025
Đang cập nhật
2. Đề thi vào 10 môn Toán Đắk Nông 2025




Lịch thi vào 10 Đắk Nông 2025

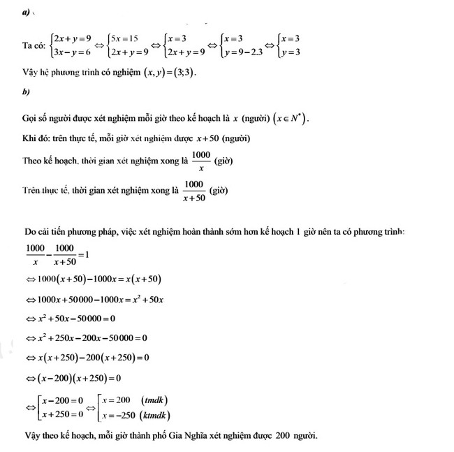
3. Đáp án đề thi vào 10 môn Toán Đắk Nông 2022
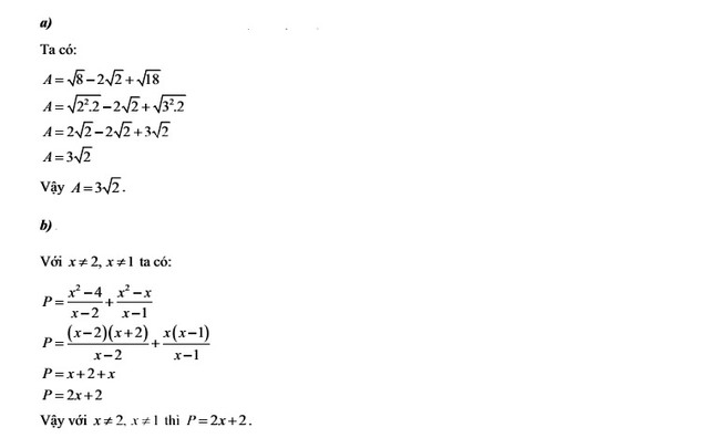
Câu 1

Câu 2
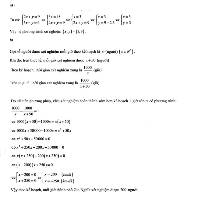
Câu 3
Câu 4

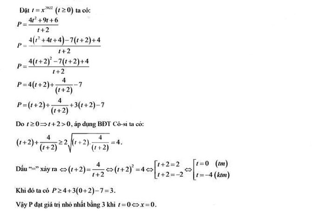
Câu 5
4. Đề thi tuyển sinh lớp 10 môn Toán Đắk Nông 2022
