Đáp án đề thi tuyển sinh lớp 10 môn Toán Bình Dương năm 2025
Đề thi tuyển sinh lớp 10 môn Toán tỉnh Bình Dương
Kỳ thi tuyển sinh vào lớp 10 tỉnh Bình Dương năm học 2025 - 2026 diễn ra trong 2 ngày 28 và 29/05/2025. VnDoc sẽ gửi tới các bạn Đề thi tuyển sinh lớp 10 môn Toán tỉnh Bình Dương kèm đáp án tham khảo sau khi hết thời gian làm bài ngày 29/05/2025. Mời các bạn theo dõi.
1. Đáp án đề thi vào 10 Toán Bình Dương 2025



Tiếp tục cập nhật
2. Đề thi vào 10 Toán Bình Dương 2025


Lịch thi vào 10 tỉnh Bình Dương 2025

3. Đáp án đề thi vào 10 Toán Bình Dương 2024







4. Đề tuyển sinh vào lớp 10 môn Toán Bình Dương 2024

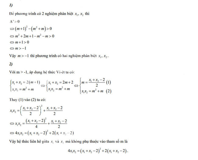
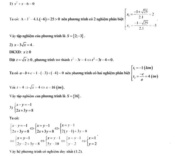
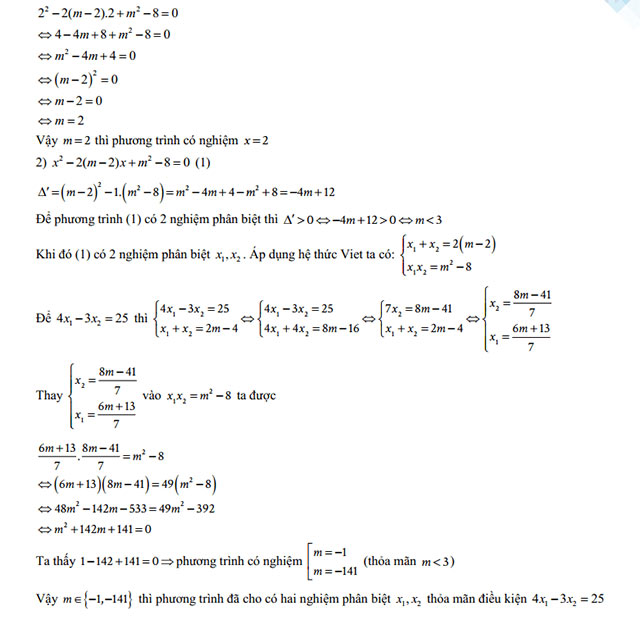
5. Đáp án đề thi vào 10 môn Toán Bình Dương 2023
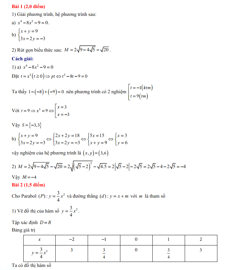
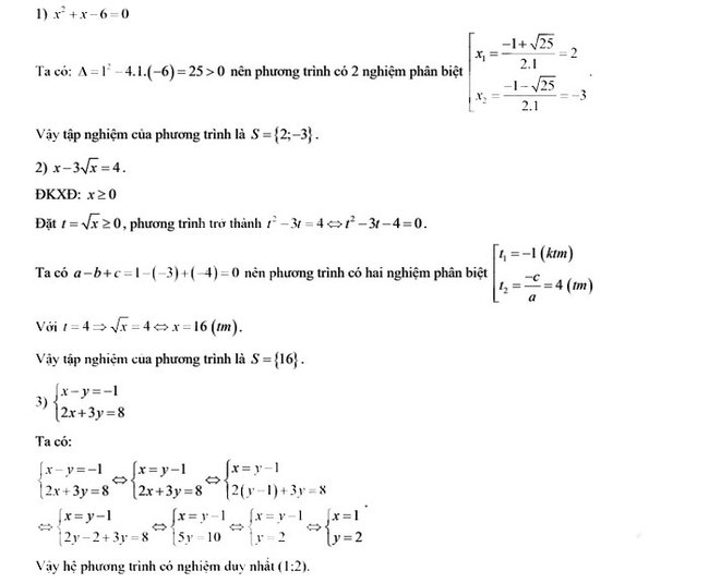
Câu 1.

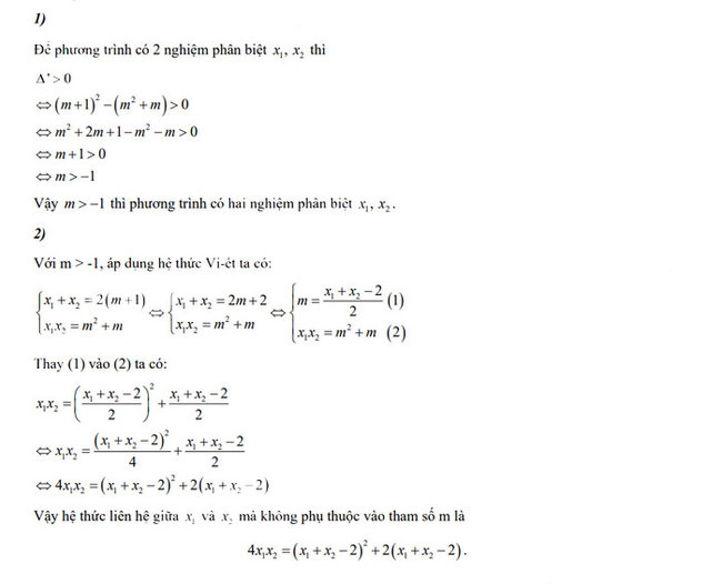
Câu 2.

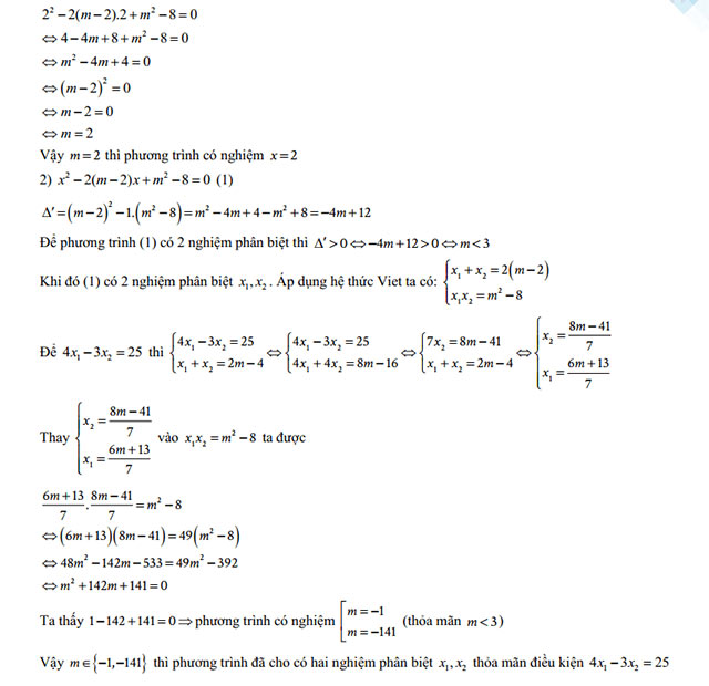
Câu 3
Bài 4 (1,5 điểm)
Bác Tư đến siêu thị mua một cái quạt máy và một ấm đun siêu tốc với tổng số tiền theo giá niêm yết là 630000 đồng. Tuy nhiên, trong tuần lễ tri ân khách hàng nên siêu thị đã giảm giá quạt máy 15% và giảm giá ấm đun siêu tốc 12% so với giá niêm yết của từng sản phẩm. Nên Bác Tư chỉ phải trả 543000 đồng khi mua hai sản phẩm trên. Hỏi giá niêm yết (khi chưa giảm giá) của một cái quạt máy và một ấm đun siêu tốc là bao nhiêu?
HD:
Giả sử giá niêm yết của quạt máy là X đồng và giá niêm yết của ấm đun siêu tốc là Y đồng.
Theo thông tin trong bài toán, ta có hai phương trình:
X + Y = 630000 (tổng số tiền theo giá niêm yết là 630000 đồng)
0.85X + 0.88Y = 543000 (số tiền sau khi giảm giá)
Giải hệ phương trình trên, ta được:
Y = 250000
X = 380000
Vậy, giá niêm yết của một cái quạt máy là 380000 đồng và giá niêm yết của một ấm đun siêu tốc là 250000 đồng.
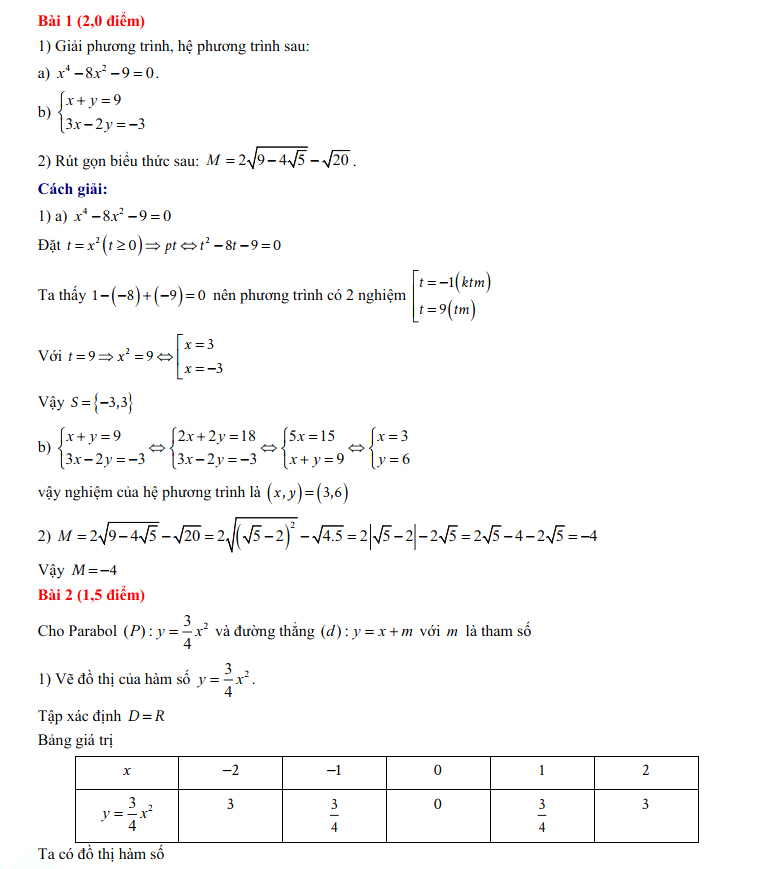
6. Đề thi tuyển sinh lớp 10 môn Toán Bình Dương 2023
