Đáp án đề thi tuyển sinh lớp 10 môn Toán Hậu Giang 2025
Đề thi vào 10 môn Toán năm 2025 có đáp án
Lớp:
Ôn vào 10
Môn:
Toán
Dạng tài liệu:
Đề thi
Phân loại:
Tài liệu Tính phí
Đề thi vào lớp 10 Toán tỉnh Hậu Giang năm 2025
- 1. Đáp án đề thi vào 10 môn Toán Hậu Giang 2025
- 2. Đề thi vào 10 môn Toán Hậu Giang 2025
- 3. Đáp án đề thi vào 10 môn Toán Hậu Giang 2024
- 4. Đề thi vào lớp 10 môn Toán Hậu Giang năm 2024
- 5. Đề thi tuyển sinh lớp 10 môn Toán Hậu Giang 2023
- 6. Đáp án đề thi vào 10 môn Toán tỉnh Hậu Giang 2023
- 7. Đáp án đề thi vào 10 môn Toán tỉnh Hậu Giang 2022
Chiều 6/6, các thí sinh tỉnh Hậu Giang tiếp tục làm bài thi môn Toán kỳ thi Tuyển sinh vào lớp 10 năm 2025 - 2026. VnDoc sẽ gửi tới các bạn Đề thi tuyển sinh lớp 10 môn Toán năm 2025 tỉnh Hậu Giang sau khi hết thời gian làm bài. Mời các bạn theo dõi để so sánh đối chiếu với kết quả bài làm của mình nhé.
1. Đáp án đề thi vào 10 môn Toán Hậu Giang 2025
VnDoc sẽ gửi tới các bạn Đáp án đề thi vào 10 môn Toán Hậu Giang 2025 sau khi hết thời gian làm bài ngày 06/06/2025.
2. Đề thi vào 10 môn Toán Hậu Giang 2025
VnDoc sẽ gửi tới các bạn Đề thi vào 10 môn Toán Hậu Giang 2025 sau khi hết thời gian làm bài ngày 06/06/2025.
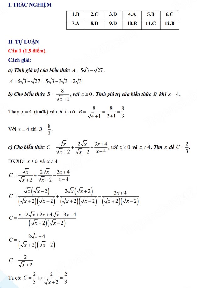
3. Đáp án đề thi vào 10 môn Toán Hậu Giang 2024






4. Đề thi vào lớp 10 môn Toán Hậu Giang năm 2024


5. Đề thi tuyển sinh lớp 10 môn Toán Hậu Giang 2023


6. Đáp án đề thi vào 10 môn Toán tỉnh Hậu Giang 2023






7. Đáp án đề thi vào 10 môn Toán tỉnh Hậu Giang 2022


