Đáp án đề thi tuyển sinh lớp 10 môn Toán Hải Dương 2025
Đề thi tuyển sinh lớp 10 môn toán Hải Dương
Lớp:
Ôn vào 10
Môn:
Toán
Dạng tài liệu:
Đề thi
Loại:
Tài liệu Lẻ
Phân loại:
Tài liệu Tính phí
Chiều 4/6, các thí sinh tỉnh Hải Dương tiếp tục làm bài thi môn Toán Kỳ thi tuyển sinh vào lớp 10 năm học 2025 - 2026. VnDoc sẽ gửi tới các bạn Đề thi và Đáp án đề thi tuyển sinh lớp 10 môn Toán tỉnh Hải Dương 2025 sau khi hết thời gian làm bài.
Đề thi vào 10 môn Toán Hải Dương 2025
- 1. Đáp án đề thi vào lớp 10 môn Toán Hải Dương 2025
- 2. Đề thi vào lớp 10 môn Toán Hải Dương 2025
- 3. Đáp án đề thi vào lớp 10 môn Toán Hải Dương 2024
- 4. Đề thi vào lớp 10 môn Toán Hải Dương 2024
- 5. Đáp án đề thi tuyển sinh lớp 10 môn Toán tỉnh Hải Dương 2023
- 6. Đáp án đề thi tuyển sinh lớp 10 môn Toán tỉnh Hải Dương 2023
- 7. Đáp án đề thi tuyển sinh lớp 10 môn Toán tỉnh Hải Dương 2022
- 8. Đề thi tuyển sinh lớp 10 môn Toán tỉnh Hải Dương 2022
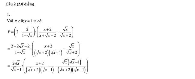
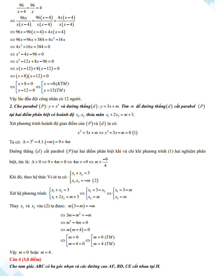
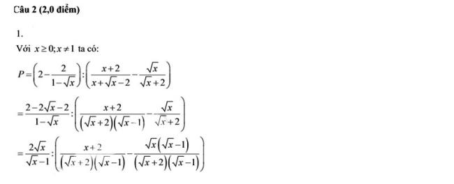
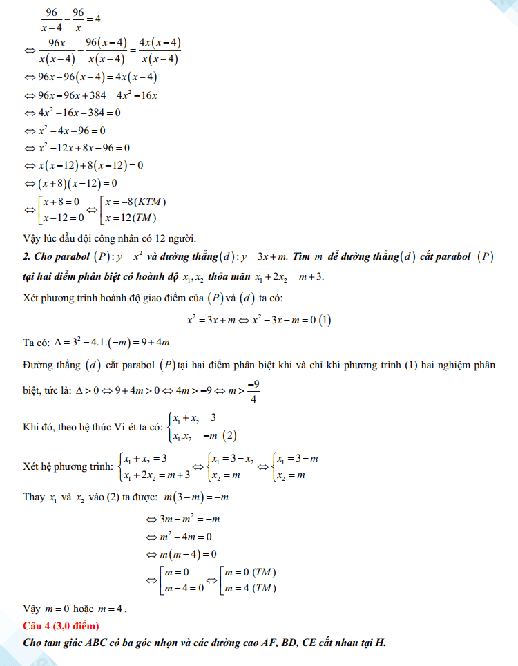
1. Đáp án đề thi vào lớp 10 môn Toán Hải Dương 2025







2. Đề thi vào lớp 10 môn Toán Hải Dương 2025


Lịch thi vào 10 Hải Dương 2025

3. Đáp án đề thi vào lớp 10 môn Toán Hải Dương 2024





4. Đề thi vào lớp 10 môn Toán Hải Dương 2024

Lịch thi vào lớp 10 năm học 2024 - 2025 tỉnh Hải Dương

5. Đáp án đề thi tuyển sinh lớp 10 môn Toán tỉnh Hải Dương 2023





6. Đáp án đề thi tuyển sinh lớp 10 môn Toán tỉnh Hải Dương 2023

7. Đáp án đề thi tuyển sinh lớp 10 môn Toán tỉnh Hải Dương 2022


8. Đề thi tuyển sinh lớp 10 môn Toán tỉnh Hải Dương 2022
