Đáp án đề thi tuyển sinh lớp 10 môn Toán Phú Thọ 2025
Đề thi tuyển sinh lớp 10 môn Toán Phú Thọ
Lớp:
Ôn vào 10
Môn:
Toán
Dạng tài liệu:
Đề thi
Loại:
Tài liệu Lẻ
Phân loại:
Tài liệu Tính phí
Kỳ thi tuyển sinh vào lớp 10 Phú Thọ năm học 2025 - 2026 diễn ra trong hai ngày: 3 và 4/6. VnDoc gửi tới các bạn Đề thi tuyển sinh lớp 10 môn Toán Phú Thọ năm 2025 kèm đáp án tham khảo ngay sau khi kết thúc thời gian làm bài. Mời các bạn theo dõi.
Đề thi tuyển sinh lớp 10 môn Toán Phú Thọ
1. Đáp án đề thi vào 10 môn Toán Phú Thọ 2025






2. Đề thi vào 10 môn Toán Phú Thọ 2025


3. Đáp án đề thi vào 10 môn Toán Phú Thọ 2024






4. Đề thi vào 10 môn Toán Phú Thọ 2024


5. Đáp án đề thi vào 10 Toán Phú Thọ 2023
Phần 1. Trắc nghiệm
| 1. C | 2. B | 3. A | 4. A | 5. B | 6. D |
| 7. C | 8. B | 9. D | 10. D | 11. A | 12. D |
Phần 2. Tự luận
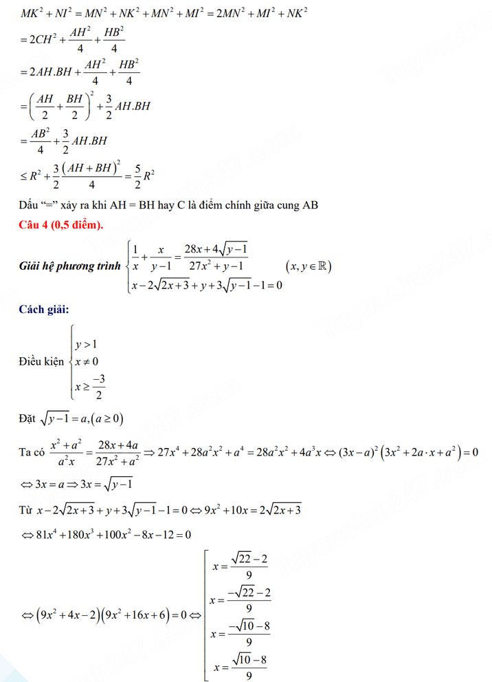
Câu 1.

Câu 2
Câu 3



6. Đề thi tuyển sinh lớp 10 môn Toán Phú Thọ 2023


