Đáp án đề thi tuyển sinh lớp 10 môn Toán Phú Yên 2025
Đề thi tuyển sinh lớp 10 môn toán Phú Yên
Lớp:
Ôn vào 10
Môn:
Ngữ Văn
Dạng tài liệu:
Đề thi
Loại:
Tài liệu Lẻ
Phân loại:
Tài liệu Tính phí
Đề thi vào lớp 10 môn Toán Phú Yên 2025
- 1. Đáp án đề thi tuyển sinh lớp 10 môn Toán Phú Yên năm 2025
- 2. Đề thi tuyển sinh lớp 10 môn Toán Phú Yên năm 2025
- 3. Đáp án đề thi tuyển sinh lớp 10 môn Toán Phú Yên năm 2024
- 4. Đề thi tuyển sinh lớp 10 môn Toán Phú Yên năm 2024
- 5. Đáp án Đề thi tuyển sinh lớp 10 môn Toán Phú Yên năm 2023
- 6. Đề thi tuyển sinh lớp 10 môn Toán tỉnh Phú Yên năm 2023
- 7. Đáp án đề thi tuyển sinh lớp 10 môn Toán tỉnh Phú Yên năm 2022
- 8. Đề thi tuyển sinh lớp 10 môn Toán tỉnh Phú Yên 2022
Chiều 2/6, các thí sinh tỉnh Phú Yên tiếp tục làm bài thi môn Toán kì thi tuyển sinh vào lớp 10 năm học 2025 - 2026. VnDoc sẽ cập nhật tới các bạn đề và đáp án tham khảo ngay sau khi có đề chính thức.
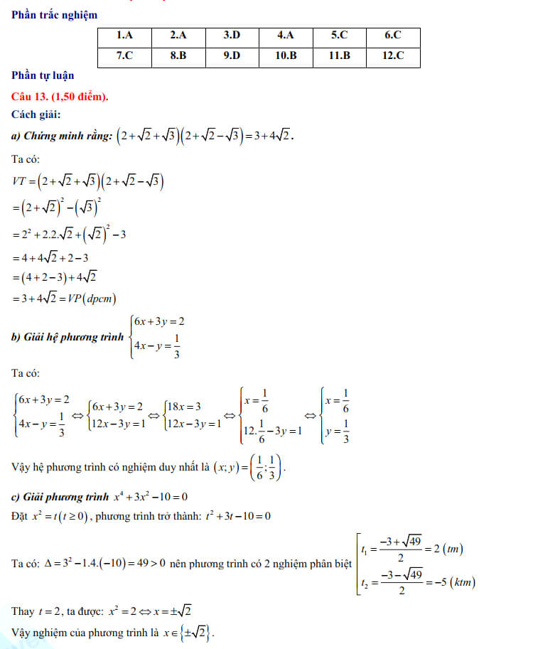
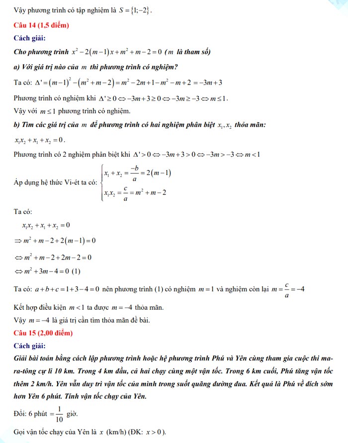
1. Đáp án đề thi tuyển sinh lớp 10 môn Toán Phú Yên năm 2025




2. Đề thi tuyển sinh lớp 10 môn Toán Phú Yên năm 2025


3. Đáp án đề thi tuyển sinh lớp 10 môn Toán Phú Yên năm 2024






4. Đề thi tuyển sinh lớp 10 môn Toán Phú Yên năm 2024



5. Đáp án Đề thi tuyển sinh lớp 10 môn Toán Phú Yên năm 2023
- B
- D
- C
- B
- C
- A
- A
- D
- A
- C
- A
- D


6. Đề thi tuyển sinh lớp 10 môn Toán tỉnh Phú Yên năm 2023


7. Đáp án đề thi tuyển sinh lớp 10 môn Toán tỉnh Phú Yên năm 2022
I. Trắc nghiệm
| 1.B | 2.B | 3.D | 4.A | 5.C | 6.D |
| 7.C | 8.A | 9.A | 10.D | 11.C | 12.B |



8. Đề thi tuyển sinh lớp 10 môn Toán tỉnh Phú Yên 2022


