Đáp án đề thi tuyển sinh lớp 10 môn Toán Hà Nội 2025
Đề thi vào 10 môn Toán năm 2025 có đáp án
Lớp:
Ôn vào 10
Môn:
Toán
Dạng tài liệu:
Đề thi
Loại:
Tài liệu Lẻ
Loại File:
PDF
Phân loại:
Tài liệu Tính phí
Kỳ thi tuyển sinh vào lớp 10 của Thành phố Hà Nội năm 2025 diễn ra trong hai ngày: 7 và 8/6/2025. VnDoc sẽ gửi tới các bạn Đề thi tuyển sinh lớp 10 môn Toán năm 2025 kèm đáp án tham khảo ngay sau khi hết thời gian làm bài. Mời các bạn theo dõi.
Đề thi vào lớp 10 Toán Hà Nội năm 2025
- 1. Đáp án đề thi vào 10 môn Toán Hà Nội 2025
- 2. Đề thi vào 10 môn Toán Hà Nội 2025
- 3. Đáp án chính thức đề thi vào 10 môn Toán Hà Nội 2024
- 4. Đáp án tham khảo đề thi vào 10 môn Toán Hà Nội 2024
- 5. Đề thi vào 10 môn Toán Hà Nội 2024
- 6. Đáp án chính thức đề thi tuyển sinh lớp 10 môn Toán Hà Nội 2023
- 7. Đề thi vào 10 môn Toán Hà Nội 2023
- 8. Đáp án đề thi vào 10 môn Toán Hà Nội 2022
- 9. Đề thi tuyển sinh lớp 10 môn Toán Hà Nội 2022
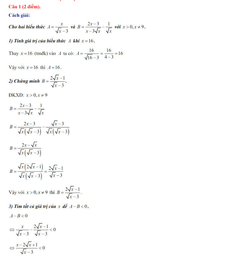
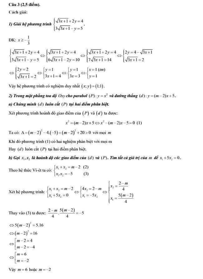
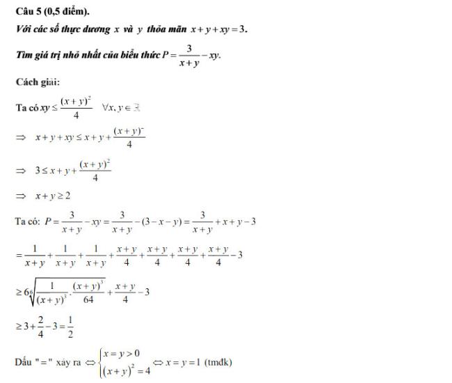
1. Đáp án chính thức đề thi vào 10 môn Toán Hà Nội 2025


2. Đề thi vào 10 môn Toán Hà Nội 2025


3. Đáp án chính thức đề thi vào 10 môn Toán Hà Nội 2024


4. Đáp án tham khảo đề thi vào 10 môn Toán Hà Nội 2024







5. Đề thi vào 10 môn Toán Hà Nội 2024

6. Đáp án chính thức đề thi tuyển sinh lớp 10 môn Toán Hà Nội 2023





7. Đề thi vào 10 môn Toán Hà Nội 2023

8. Đáp án đề thi vào 10 môn Toán Hà Nội 2022



9. Đề thi tuyển sinh lớp 10 môn Toán Hà Nội 2022
