Đáp án đề thi tuyển sinh lớp 10 môn Toán Cao Bằng 2025
Đề thi tuyển sinh lớp 10 môn Toán Cao Bằng
Lớp:
Ôn vào 10
Môn:
Toán
Dạng tài liệu:
Đề thi
Loại:
Tài liệu Lẻ
Phân loại:
Tài liệu Tính phí
Sáng 4/6, các thí sinh tỉnh Cao Bằng tiếp tục làm bài thi môn Toán kỳ thi tuyển sinh vào lớp 10 năm học 2025 - 2026. VnDoc gửi tới các bạn Đề thi tuyển sinh lớp 10 môn Toán Cao Bằng năm 2025 kèm đáp án tham khảo ngay sau khi kết thúc thời gian làm bài. Mời các bạn chú ý theo dõi.
Đề thi tuyển sinh lớp 10 môn Toán 2025 Cao Bằng
1. Đề thi vào 10 Toán Cao Bằng 2025

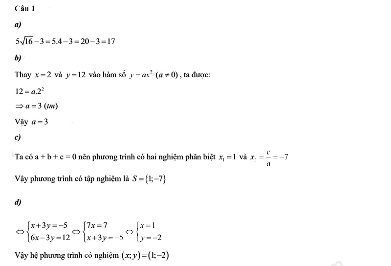
2. Đáp án Đề thi vào 10 Toán Cao Bằng 2025





3. Đề thi vào 10 Toán Cao Bằng 2024

4. Đáp án đề thi tuyển sinh lớp 10 môn Toán Cao Bằng 2024




